Как выбрать кольцо по размеру на EBAY и алиэкспресс
Приобретение кольца, пожалуй, одна из самых сложных задач. Если при покупке иных украшений нужно учитывать лишь вкусы и предпочтения того, кому этот подарок предназначается, то при выборе кольца важно угадать с размером.
Особенно внимательно нужно относиться к выбору кольца для помолвки или заключения брака, ведь известно, что неправильно выбранный размер кольца не сулит молодым в будущем ничего хорошего.
Кольца — этот тот подарок, что всегда на виду. Это браслет, цепочка или кулон могут быть скрыты одеждой, а руки видны всем, поэтому кольца должны быть выбраны не только идеально по размеру, но и по дизайну.
На торговой площадке EBAY и Aliexpress представлены кольца с различным дизайном, на любой вкус. Есть кольца для дам в возрасте или для молодых девушек, обручальные, узкие и широкие, с узором и камнями.
Чтобы правильно выбрать размер кольца, нужно воспользоваться таблицей, в которой есть сравнительные данные российских и зарубежных размеров колец.
| Ваш Российский размер | Окружность, мм | Американский размер |
| 13,2 | 41,5 | 2 |
| 13,6 | 42,7 | 2,5 |
| 14 | 44 | 3 |
| 14,5 | 45,2 | 3,5 |
| 14,9 | 46,5 | 4 |
| 15,3 | 47,8 | 4,5 |
| 15,7 | 49 | 5 |
| 16,1 | 50,3 | 5,5 |
| 16,5 | 51,5 | 6 |
| 17 | 52,8 | 6,5 |
| 17,4 | 54 | 7 |
| 17,8 | 55,3 | 7,5 |
| 18,2 | 56,6 | 8 |
| 18,5 | 57,8 | 8,5 |
| 18,9 | 59,1 | 9 |
| 19,4 | 60,3 | 9,5 |
| 19,8 | 61,6 | 10 |
| 20,2 | 62,8 | 10,5 |
| 20,7 | 64,1 | 11 |
| 21,1 | 65,3 | 11,5 |
| 21,5 | 66,6 | 12 |
| 21,9 | 67,9 | 12,5 |
| 22,3 | 69,1 | 13 |
| 22,7 | 71,3 | 13,5 |
| 23,1 | 72,3 | 14 |
| 23,5 | 73,8 | 14,5 |
Но также вы можете воспользоваться нашей таблицей определения размера колец здесь.
Чем отличаются русские и американские размеры колец
При покупке кольца нужно внимательно отнестись к тому, где сделано украшение. Если кольца произведены в России, то их размер считается по внутренней окружности, в тоже время, европейцы измеряют размер по внешним параметрам изделия, то есть по внешней окружности украшения.
В случае, если известен лишь размер кольца согласно европейским меркам, то цифру нужно разделить на 3,14, значение числа П, полученный результат и станет российским размером кольца.
Как определить размер кольца для покупки на «EBAY» или алиэкспресс
Есть несколько способов того, как выяснить нужный размер кольца. Если покупка кольца не является сюрпризом, то проще всего зайти вместе с дамой в ювелирный магазин и определить размер кольца по специальной шкале. Но и в этом способе определения размера есть свои нюансы. Так, измерять размер пальчика нужно ближе к концу трудового дня, а еще лучше, в пятницу вечером.
Не стоит измерять размер пальчика после трудовой нагрузки, занятий в тренажерном зале или во время болезни. В это время пальчики наиболее распухшие, и в обычном состоянии кольца, выбранные в этот момент, будут спадать.
При определении размера кольца нужно помнить о том, что есть узкие и широкие кольца, что могут доходить до середины длины пальца. Их размеры будут несколько различаться. Как правило, в ювелирных магазинах есть две шкалы для измерения размера узких и широких колец.Возможно и в шутку, что называется, к месту спросить девушку о том, какой размер кольца она носит.
Измерить размер кольца можно и при помощи бумажной ленточки, которую оборачивают вокруг пальца. Так, если диаметр пальца составляет 1.7 см, то российский размер кольца будет равен цифре 17.
Универсальным размером кольца считают диаметр средней фаланги пальца.
Еще одним вариантом определения размера кольца для женщин является следующий. Нужно выбрать кольцо, что идеально «сидит» на вашем пальчике, измерить линейкой его диаметр и полученные цифры взять за основу будущего размера.
Есть и еще один беспроигрышный вариант для мужчин, как определить размер кольца. Для этого можно попросить под благовидным предлогом кольцо у избранницы или взять то, что лежит на виду. Кольцо нужно надеть на мизинец мужской руки и запомнить, точку, до которой наделось кольцо. Как правило, женское колечко надевается до середины мужского мизинца. Этих же параметров нужно придерживаться и при выборе колечка в магазине, меряя его на мизинец.
При заказе кольца на Ебей нужно воспользоваться таблицей размеров, так вы никогда не ошибетесь с размером украшения, и ваш подарок станет самым желанным украшением женской руки. Таблицу размеров мы сделали в начале статьи.
Таблица размеров — размерные таблицы одежды, обуви и аксессуаров
Таблица размеров — размерные таблицы одежды, обуви и аксессуаров Закажите товар из любого зарубежного интернет-магазина — всего лишь вставьте в поле ссылку.
Мы выкупим и привезем товар сами. Используйте Программу защиты отправлений.
Используйте наш бесплатный адрес за рубежом, куда вы можете направлять и где можете объединять свои покупки из разных магазинов. Мы проверим товары, упакуем и доставим прямо к вам домой.
Распродажи, вкусные цены и выгодные предложения!
Каталог крупнейшего электронного аукциона на русском языке. Получите доступ ко всем продавцам, которые не отправляют товары в Россию. Через наш сервис доставка еще дешевле. Также есть Программа защиты отправлений.
Мировой каталог на русском языке, огромный выбор зарубежных брендов. Получите возможность покупать на Amazon через наш сервис, это гораздо дешевле. Используйте Программу защиты отправлений.
Каталог крупнейшего китайского продавца на русском языке. Разобраться легче, выбирать удобнее, а цены такие же низкие.
Огромная база популярных и редких американских, европейских и китайских интернет-магазинов.
С высокой вероятностью вы найдете здесь все, что только пожелаете.
В этом разделе вы можете узнать стоимость международной доставки.
В этом разделе вы можете ознакомиться с тарифными планами сервиса.
Акции и спецпредложения Shopotam сделают шопинг еще выгоднее!
Миллионы брендовых товаров по супер-ценам, распродажи и скидки. Никаких комиссий и быстрая дешевая доставка.
Таблица соответствия размеров женской обуви
| Сантиметры |
| |||||||||||||||
| Россия |
| |||||||||||||||
| США |
| |||||||||||||||
| Великобритания |
| |||||||||||||||
| Европа |
|
Таблица соответствия размеров мужской обуви
| Сантиметры |
| |||||||||||||
| Россия |
| |||||||||||||
| США |
| |||||||||||||
| Великобритания |
| |||||||||||||
| Европа |
|
Таблица соответствия размеров мужской обуви
Детская обувь (от 0 до 1 года)
| Сантиметры |
| ||||||||||
| США | |||||||||||
| Великобритания | |||||||||||
| Европа |
Детская обувь (от 1 до 6 года)
1 — 1. 5 года | 2 года | 3 года | 4 года | 5 лет | 6 лет | |
| Сантиметры | ||||||
| США | ||||||
| Великобритания | ||||||
| Европа |
Подростковая обувь (от 7 до 10 лет)
| 7 лет | 8 лет | 9 лет | 10 лет | ||||||||
| Сантиметры |
| ||||||||||
| США | |||||||||||
| Великобритания | |||||||||||
| Европа |
Женская одежда
| Размер | |||||||||||
| Размер | |||||||||||
| Обхват груди(см) |
| ||||||||||
| Обхват талии(см) |
| ||||||||||
| Обхват бедер(см) |
| ||||||||||
| Российский размер |
|
Женская одежда больших размеров
| Размер | |||||||||
| Размер | |||||||||
| Обхват груди(см) |
| ||||||||
| Обхват талии(см) |
| ||||||||
| Обхват бедер(см) |
|
Женские джинсы
| Размер | ||||||||||
| Размер | ||||||||||
| Размер | ||||||||||
| Обхват груди(см) |
| |||||||||
| Обхват талии(см) |
| |||||||||
| Обхват бедер(см) |
|
Женские головные уборы
| Размер | |||||||||
| Размер | |||||||||
| Обхват головы(см) |
|
Таблица соответствия размеров женского белья
| Обхват талии, см |
| ||||||||
| Обхват бедер, см |
| ||||||||
| Россия | |||||||||
| США | |||||||||
| Международный |
Таблица соответствия размеров бюстгалтеров
| Россия |
| |||||||
| США |
|
Таблица соответствия размеров женских носков
| Россия | ||||||
| США | ||||||
| Европа |
|
Мужская одежда
| Размер | |||||||||||||
| Обхват груди (см) |
| ||||||||||||
| Обхват талии (см) |
| ||||||||||||
| Российский размер |
Мужская одежда больших размеров
| Размер | |||||||||
| Обхват груди (см) |
| ||||||||
| Обхват талии (см) |
|
Мужские джинсы
| Размер |
| |||||||||||||
| Обхват талии (см) |
| |||||||||||||
| Длина изнутри (см) | ||||||||||||||
| x28 |
| |||||||||||||
| x30 |
| |||||||||||||
| x32 |
| |||||||||||||
| x34 |
| |||||||||||||
| x36 |
| |||||||||||||
| Российский размер |
|
Мужские головные уборы
| Размер | |||||||||
| Размер | |||||||||
| Обхват головы (см) |
|
Таблица соответствия мужского белья
| Россия | |
| Международный | |
| Великобритания |
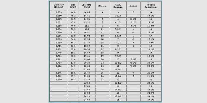
Таблица соответсвия размеров колец
| Диаметр (мм) |
| |||||||||||||||||||
| Окружность (мм) |
| |||||||||||||||||||
| Россия/Германия |
| |||||||||||||||||||
| США |
| |||||||||||||||||||
| Англия |
Вставьте ссылку на страницу товара или номер лота на ebay
- Добавьте товар Вставьте ссылку на страницу товара или номер лота ebay.
- Параметры товара Укажите размер, цвет, количество и другие дополнительные параметры товара.
- Оплатите товары Оплатите свои покупки любым удобным вам способом.
- Получите посылку Сформируйте посылку и получите ваши покупки у курьера или в Вашем почтовом отделении.
Соответствие американских и российских размеров нижнего белья и аксессуаров
Выбор нижнего белья и аксессуаров в онлайн-магазинах США будет гораздо проще, если вы заранее переведете свои размеры в американские. Если речь идет о шарфах или ремнях, то для определения их размеров вам достаточно перевести дюймы в сантиметры (приблизительно 1дюйм=2,5 см.
) Если речь идет о шляпе или нижнем белье, то вам нужно будет переводить размеры. Зато, например, в США удобно выбирать носки, т.к. их размер соответствует американскому размеру обуви. Иногда производитель предлагает свою размерную сетку на какой-либо аксессуар, тогда вам нужно всего лишь воспользоваться переводом сантиметров в дюймы.
Размер перчаток определяется величиной обхвата ладони на уровне оснований указательного пальца и мизинца. Российский размер головных уборов соответствует обхвату головы по линии, соответствующей низу обычной шапки. В обоих случаях переводите ваши измерения в дюймы или выбирайте соответствующие американские размеры по таблице.
У нас принято измерять кольца величиной диаметра, поэтому всем хорошо знакомый, например, 17 размер означает, что кольцо приблизительно 17 мм в диаметре. В США используется отличная от нашей размерная сетка колец, которая достаточно точная в отличие от размеров одежды и обуви.
Мужское белье достаточно просто сопоставляется по соответствующим размерам, а вот женское белье может несколько запутать, особенно это касается бюстгальтеров.
Переводите цифру соответствующую обхвату груди по таблице, а размер чашки оставляйте прежним. Например, вы носите российский размер 75В, тогда вам подходит американский 34В. Следует отметить, что именно подбор бюстгальтера наиболее сложен из всех аксессуаров и видов белья. Каждая фирма-производитель имеет свои особенности покроя и небольшого отличия размеров в большую или меньшую степень. Бюстгальтеры требуют точной посадки, поэтому будет лучше, если вы уже знакомы с приобретаемой онлайн продукцией. Тем более что вам может больше подходить так называемый параллельный размер бюстгальтера (например, 80В вместо 75С). Для остальных предметов женского нижнего белья размеры переводятся по общей таблице соответствия с учетом того, что белье должно плотно прилегать, но не быть малым.
Детское белье и аксессуары выбирается по тому же принципу, что и одежда: в США обычно маркируют детские вещи по ориентировочному возрасту ребенка, главным показателем которого является рост. Размер детских шапок определяется как у взрослых.
Таблица определения размеров перчаток
| США | Величина обхвата |
7″ | 17.8 см |
8″ | 20 см |
9″ | 23 см |
10″ | 25 см |
11″ | 28 см |
12″ | 30.5 см |
13″ | 33 см |
Таблица соответствия размеров головных уборов
| Российский размер (сантиметры) | Американский размер (дюймы) | |
| 53 | 6. | XXS |
| 54 | 6.3/4 | XS |
| 55 | 6.7/8 | S |
| 56 | 7 | SM |
| 57 | 7.1/8 | M |
| 58 | 7.1/4 | ML |
| 59 | 7.3/8 | L |
| 60 | 7.1/2 | L–XL |
| 61 | 7.5/8 | XL |
| 62 | 7.3/4 | XXL |
| 63 | 7.7/8 | XXXL |
| 64 | 8 | 4XL |
| 65 | 8. | 5X |
Таблица соответствия размеров женского белья
| США | 8 | 10 | 12 | 14 | 16 | 18 | 20 | 22 |
| Россия | 42 | 44 | 46 | 48 | 50 | 52 | 54 | 56 |
Таблица соответствия размеров бюстгальтеров
| США | 30 (AA,A,B) | 32 (AA,A,B,С ) | 34 (A…E) | 36 (A…E) | 38 (A…E) | 40 ( B… E) | 42 ( B… E) |
| Россия | 65 (АА, A, B) | 70 (AA,A,B,С ) | 75 (A…E) | 80 (A…E) | 85 (A…E) | 90 (B…E) | 95 (B… Е) |
Таблица соответствия размеров колец
| Диаметр (мм) | Длина окружности (мм) | США | Россия |
14,86 | 46,5 | 4 | 15 |
15,27 | 47,8 | 4,5 | 15,5 |
15,70 | 49,0 | 5 | 15,75 |
16,10 | 50,3 | 5,5 | 16 |
16,51 | 51,5 | 6 | 16,5 |
16,92 | 52,8 | 6,5 | 17 |
17,35 | 54,0 | 7 | 17,25 |
17,75 | 55,3 | 7,5 | 17,75 |
18,19 | 56,6 | 8 | 18 |
18,53 | 57,8 | 8,5 | 18,5 |
18,89 | 59,1 | 9 | 19 |
19,41 | 60,3 | 9,5 | 19,5 |
19,84 | 61,6 | 10 | 20 |
20,20 | 62,8 | 10,5 | 20,25 |
20,68 | 64,1 | 11 | 20,75 |
21,08 | 65,3 | 11,5 | 21 |
21,49 | 66,6 | 12 | 21,25 |
21,89 | 67,9 | 12,5 | 21,75 |
22,33 | 69,1 | 13 | 22 |
Американские размеры колец на русские
Как выбрать кольцо по размеру на eBay?
Среди всех подарков и украшений особенно престижными и востребованными считаются кольца.
Они не доставляют неудобств при носке, а дизайну некоторых изделий может позавидовать даже модное колье. Недаром знаком свадьбы или помолвки считается кольцо, какое бы оно ни было – простое и без изысков или щедро украшенное россыпью камней. На торговой площадке Ebay представлено множество колец разных размеров и форм, но как выбрать из них то самое, которое понравится вашим женщинам, мужчинам, родителям или друзьям? А самое главное – подойдет по размеру? Эта статья научит определять и соотносить размеры, принятые в России, с размерами колец на торговой площадке «Ебей».
Таблица соответствий
Бижутерия на Ebay в большинстве представлена с сеткой американских размеров. Здесь приводится таблица размеров колец на «Ебей», по которой вы сможете определить нужный.
| Российский размер | Окружность, мм | Американский размер |
| 13,2 | 41,5 | 2 |
| 13,6 | 42,7 | 2,5 |
| 14 | 44 | 3 |
| 14,5 | 45,2 | 3,5 |
| 14,9 | 46,5 | 4 |
| 15,3 | 47,8 | 4,5 |
| 15,7 | 49 | 5 |
| 16,1 | 50,3 | 5,5 |
| 16,5 | 51,5 | 6 |
| 17 | 52,8 | 6,5 |
| 17,4 | 54 | 7 |
| 17,8 | 55,3 | 7,5 |
| 18,2 | 56,6 | 8 |
| 18,5 | 57,8 | 8,5 |
| 18,9 | 59,1 | 9 |
| 19,4 | 60,3 | 9,5 |
| 19,8 | 61,6 | 10 |
| 20,2 | 62,8 | 10,5 |
| 20,7 | 64,1 | 11 |
| 21,1 | 65,3 | 11,5 |
| 21,5 | 66,6 | 12 |
| 21,9 | 67,9 | 12,5 |
| 22,3 | 69,1 | 13 |
| 22,7 | 71,3 | 13,5 |
| 23,1 | 72,3 | 14 |
| 23,5 | 73,8 | 14,5 |
Как определить размер кольца для покупки на «Ебей»?
Существует несколько способов измерения.
В них включены и самые незаметные – чтобы близкий вам человек не догадался о готовящемся сюрпризе. Итак, рассмотрим три самых распространенных способа.
Первый, самый простой и очевидный, применяется в случае, если вы покупаете кольцо для себя или это не является тайной для того, кому подарок предназначается. В ближайшем ювелирном магазине любой продавец-консультант с готовностью поможет вам измерить палец и определить размер.
Придерживайтесь этих советов, чтобы мерки были максимально достоверными:
- Не пытайтесь определить размер кольца с утра. Ваши пальцы могут быть всё еще отекшими после сна – это исказит конечный результат. По этой же причине не измеряйте обхват пальца после занятий спортом. Идеальное время – когда вы в покое и температура тела в норме.
- Обычно ювелиры или консультанты ювелирных магазинов используют два типа измерителей – для широких и узких колец. При примерке кольца у специалиста вам необходимо уточнить, изделие какой ширины вы планируете купить.
Если ширина кольца 8 миллиметров и больше, к исходному размеру прибавляется ¼ или ½ получившегося диаметра.
Второй способ. Планируете купить кольцо на интернет-площадке Ebay? Помните, что размером кольца обычно считается диаметр средней фаланги пальца. Например, если диаметр пальца составляет 1.7 сантиметров, то российский размер кольца будет 17. Если у вас уже есть кольцо, измерьте линейкой его диаметр. Это самый простой и в том числе самый незаметный способ определить размер кольца, если вы готовите сюрприз.
Третий способ. Измерьте окружность пальца в самой широкой его части ниткой, лентой или тому подобным. Отметьте место нахлеста и приложите нитку к линейке. Получившийся результат разделите на число 3.14 – получится диаметр в миллиметрах. Округлите результат деления в большую сторону и получите размер кольца.
| Окружность | 47.1 | 48.7 | 50.3 | 51.8 | 53.4 | 55 | 56.5 | 58.1 | 59. 7 | 61.3 | 62.8 | 64.4 | 66 | 67.5 |
| Размер | 15 | 15.5 | 16 | 16.5 | 17 | 17.5 | 18 | 18.5 | 19 | 19.5 | 20 | 20.5 | 21 | 21.5 |
В чем разница между русскими и американскими размерами?
Почему делить результат необходимо именно на число Пи? Дело в том, что между российскими и европейскими размерами существует строгая математическая зависимость. Размер кольца в России – это его внутренняя окружность, тогда как в Европе размером считают внешнюю окружность. Из школьного курса математики нам известно, что длина окружности равна произведению диаметра и числа Пи – 3,14. Поэтому чтобы узнать российский размер, нужно разделить европейский на 3,14. Чтобы определить американский размер, воспользуйтесь таблицей размеров колец на «Ебей» в начале статьи.
Удачных покупок!
size-up.ru
Как подобрать США размеры колец на Алиэкспресс на русском?
AliExpres.
Sale » Размеры » Как подобрать США размеры колец на Алиэкспресс на русском?
Доверие к магазину Алиэкспресс растет с каждым годом. Буквально несколько лет назад там покупали только дешевые мелочи, сегодня уже есть масса людей, которые активно пополняют там гардероб, приобретают предметы для украшения дома и делают другие более крупные траты. В последнее время популярностью стали пользоваться даже украшения с Алиэкспресс, в том числе и кольца, их размеры США на русские в Алиэкспресс переводить нет никакого смысла. Гораздо лучше сразу же подбирать оптимальный размер по таблице, которая дана в описании украшения. Как же это сделать? Сейчас мы все подробно объясним.
Чем отличаются размеры колец США от российских стандартов?
Размерная сетка колец, которая принята в России по праву считается одной из самых удобным. Дело в том, что при ее использовании для определения размера даже не нужно никаких колец. Каждый размер равен окружности пальца.
Например, ширина вашего пальца в основании 15,6 мм, это означает, что вам подходит 16 размер.
Округлять всегда следует в большую сторону, чтобы кольцо точно не жало.
В американской размерной сетке, вообще, используется случайная система. Все размеры там обозначены числами, которые идут друг за другом. Взрослая размерная линейка начинается от 6 и заканчивается обычно на 16. Более крупные размеры колец уже, как правило, делают на заказ.
Так что если вы хотите выбрать кольца с размерами США на русском Алиэкспресс вам лучше всего заранее определить свои параметры и затем сравнивать их с таблицей.
Как определить свой размер кольца на Алиэкспресс?
Обычно человек узнает свой размер кольца опытным путем, просто примерив подходящее украшение. Дальше же вы можете практически без оглядки подбирать себе кольца согласно этим стандартам, особенно в розничных магазинах. Алиэкспресс же не дает нам такой возможности. Мало того, что на сайте могут быть использованы практически любые международные стандарты по выбору размера, так еще и таблицы иногда сделаны по непонятным принципам.
Даже если продавец Алиэкспресс утверждает, что у нее американские размеры, это совсем не значит, что это действительно так. В таблицах могут быть допущены ошибки. По этой причине мы вам рекомендуем при каждом подборе кольца смотреть только на те данные, которые даны в его описании.
Перед этим необходимо определить ширину своего пальца. Сделать это очень просто. Обычно используется сантиметровая лента, веревка или даже отрезок бумаги. Во всех случаях вам нужно обхватить основание пальца, на который вы подбираете кольцо. При этом нужно следить за тем, чтобы оставался небольшой запас свободного пространства. Готовое кольцо не должно сдавливать пальцы. С ним вы должны свободно двигать руками. При неправильном подборе размера кольца очень часто приходится предпринимать серьезные меры, только для того, чтобы его снять.
Если вы пользовались сантиметровой лентой, то можете сразу же узнать ширину своего пальца. В остальных случаях нужно отметить точку соприкосновения двух концов и после этого измерять отрезок.
Его длина будет равна ширине вашего пальца.
Именно этот показатель и нужен в большинстве случаев и по нему вы можете подобрать размеры кольца США на русский на Алиэкспресс, но бывают модели колец, где для определения размера используется его диаметр. В таком случае вам потребуется уже другое кольцо, которое вам подходит и линейка. Нужно определить центр окружности и измерить диаметр кольца. Затем все эти данные сверяются с таблицей.
Как правильно выбрать США размеры колец на Алиэкспресс?
В описании каждого товара на Алиэкспресс, где нужно знать свой размер, есть специальные таблицы. Оно помогает вам самостоятельно подобрать походящий размер даже без возможности примерить украшение. Обычно таблицы выглядят таким образом.
Иногда в них ещё и содержится информация о том, как именно измерить окружность своего пальца или диаметр кольца, чтобы клиентам было проще ориентироваться. Ваша задача – это просто сравнить данные, которые вы получили ранее с таблицей.
Например, ширина пальца равна 18 мм. Смотрим в таблице. Там дано несколько подходящих размера. Поскольку при измерении мы уже оставили запас, сейчас делать этого уже не придется. Так что берем наиболее подходящий параметр. Судя по второй колонке, нам больше всего подходит ширина в 18,1 мм, что соответствует 8 размеру у данного продавца.
Если вы не нашли таблицы в основном тексте статьи, то нужно обратить внимание на ту область где находится фото и нужно выбирать параметры кольца. Обычно в этой области есть надпись Size info. Если вы на нее нажмете, перед вами откроется соответствующая таблица.
Вы можете сразу же оформлять заказ или еще раз перепроверить свое решение.
Как не допустить ошибок при выборе размеров на Алиэкспресс?
Как мы уже знаем, выбирать размеры чего бы ни было на Алиэкспресс – это не так уж просто. Нужно всегда ориентироваться на таблицы. Однако, даже они вам не дают полной гарантии. Ошибки могут быть как со стороны продавца, так и с вашей.
Поэтому мы рекомендуем вам уделить больше внимания выбору размера и перед покупкой перепроверить себя. Начать следует с отзывов. Поскольку для выбора кольца требуется только одна мерка, вы и вовсе можете ориентироваться только на отзывы.
Чтобы при помощи их подобрать размеры колец США на русский на Алиэкспресс нам придется смотреть не на фото, а на основной текст. Достаточно даже просто бегло проглядывать все отзывы, а если заметите цифры, уделить этому тексту больше внимания.
На Алиэкспресс принято писать подробные отзывы, чтобы помогать и другим пользователям правильно выбирать товары. Если кольцо, которое вы хотите приобрести, обладает хоть какой-то популярностью, отзывов на него уже должно быть достаточно. Среди них вы легко найдете отчет человека, с таким же размером кольца, как у вас. Тогда вы сможете просто повторить за ним выбор. Такой способ выбора размера в данном случае можно считать довольно надежным, ведь для выбора кольца требуется всего одна мерка. Не рекомендуется прибегать к таким способам, когда требуется знать больше параметров.
Однако, даже в таком случае стоит пролистать отзывы просто для того, чтобы понять, насколько верна размерная сетка данного продавца. Более того, не забывайте о том, что на Алиэкспресс и вовсе не следует ничего приобретать, если до этого вы не изучите отзывы в полной мере. Только по ним можно понять реальное качество выбранного товара.
Если не хотите тратить свое время на отзывы, можете просто попросить совета по выбору подходящего вам размера. Для этого можно использовать мобильное приложение. В нем есть уникальная функция. К каждому товару вы можете задавать вопросы, а отвечать на них будут те, кто уже его приобретал.
Можно указать в своем вопросе мерки, и спросить, какой размер вам больше всего подойдет. Будет идеально, что и в этом случае вам попадется человек с такими же мерками. Он сможет дать вам правильный совет. Даже если совпадений нет, к советам более опытных покупателей все равно стоит прислушаться. Однако, не забывайте, что это не дает вам никаких гарантий.
Даже если размер не подошел, вы никому не сможете пожаловаться, ведь, по сути, выбрали размер самостоятельно. Поэтому мы вам советуем всегда, чтобы правильной выбрать размеры колец США на русские Алиэкспресс, обращаться за консультацией непосредственно к продавцу. Всё-таки именно он должен лучше всех остальных разбираться в размерной сетке своего товара.
Чтобы связаться с продавцом на каждой странице с его товарами есть специальная форма. Она находится немного ниже основного описания в левой части страницы.
Свое сообщение лучше писать на английском, а иначе есть шанс, что вас не поймут совсем или же будут опущены некоторые моменты. На данный момент все онлайн-переводчики лучше всего работают именно с английским языком, более того, все больше сотрудников Алиэкспресс владеют им в достаточной степени, чтобы вести диалог. В общем, на английском вас поймут лучше.Исключением является раздел Алиэкспресс Молл. В нем все магазины имеют свои склады на территории России и русскоязычных работников.
С ними уже можно общаться на родном языке. В своем сообщение изложите просьбу, дайте свои мерки и ждите ответа. Если речь идет о более крупном магазине, скорее всего, среди его сотрудников есть один, который отвечает именно за общение с клиентами. В таком случае ответа вам даже не придется ждать. Скорее всего, вас проконсультируют в режиме реального времени.
Если это не так, беспокоиться все равно не стоит. Продавцы Алиэкспресс всегда стараются быть учтивыми и клиентоориентированными, особенно до того, как получить ваши деньги. Поэтому отвечать они стараются как можно быстрее. Обычно консультацию вы получаете в течение этого дня.
Дальше же можно смело следовать советам продавца, ведь, как правило, ошибок в таком случае не возникает. Работники магазина должны лучше всех разбираться в размерной линейке своей продукции. Более того, даже если продавец ошибется, в этом нет ничего страшного. Поскольку ответственность за неправильное решение лежит на нем, в споре вы в любом случае выиграете.
Тогда продавцу придется выплатить вам компенсацию, которую вы потратите на расширение или сужение кольца. На данный момент такой способ очень популярен. Сами продавцы предлагают своим клиентам в любой непонятной ситуации обращаться к ним. Более того, вы можете даже вступать в диалог с магазином. Можно сразу же оформить заказ, а после этого уже в комментариях написать свои мерки. Если вы неправильно подобрали размер, продавец все равно вышлет вам тот, который больше всего подходит.
Опытные покупатели поступают, таким образом, даже если уверены, что и сами правильно выбрали размер.
Нашли ошибку? Выделите ее и нажмите Ctrl + Enteraliexpres.sale
Размер кольца 8 5 на русский. Как узнать размер кольца — способы определения, российская, американская и китайская размерная сетка
Какая девушка не любит украшения, тем более, что сейчас приобрести их можно даже не выходя из дома? Однако остается проблема: определить размер кольца, ведь одно дело – померить и выбрать украшение в магазине, а другое – заказывать изделие онлайн или готовить сюрприз.
В точном определении вам помогут следующие методы.
Как определить размер кольца
Если вам очень сильно понравилось украшение из интернет-магазина, то примерить его вам не удастся, пока вы не получите покупку на руки. Определять данные по фото вряд ли кто-то умеет, поэтому существует немало способов того, как узнать размер пальца для кольца в домашних условиях, и в соответствии с предложенными украшениями выбрать понравившуюся модель. Для этого не нужна специальная техника или какие-либо особые навыки, а всего-навсего пальцы, линейка и две минуты свободного времени.
Давайте просто получим, какой размер лучше. Или, пусть поможет совок пальцами в профессиональном, предположительно интересном виде. Ну, в конце концов, эти близкие женщины могут предложить любимому человеку увидеть свои собственные кольца и отметить: какое из колец было лучшим, будь то больше или меньше, в какое место было добавлено. Опять же, это должно быть в форме игры. Если ваш партнер глубоко спит, вы можете пристегнуть палец материальной полосой, пометить ее длину и измерить линейкой.
Для окончательной настройки размера вы можете воспользоваться нашими преобразователями размера или обратиться за помощью к ювелирам или продавцам.
При выборе ювелирных украшений, особенно если планируется подарок близкому, важно подобрать то самое, подходящее, чтобы человеку не пришлось самостоятельно идти и делать обмен. Правильно выбрать соответствующий размер помогут несложные методы определения, которые описаны ниже. Проверить свой результат вы сможете на уже имеющихся украшениях.
Просто будьте очень нежны, потому что, если он исчезнет, ваше удивление исчезнет. Сравните свои руки и пальцы с ней. Вы можете скрестить руки и руки, сравнить различия в ширине, длине, усилие, чтобы заметить, создать романтический момент и, возможно, даже захватить картину вместе. К сожалению, этот метод будет работать, только если опытный ювелир или продавец, консультант, оценят размер. Представьте себе покупку бриллиантового обручального кольца для себя или нет. Чтобы избежать каких-либо подозрений, выберите близкого друга, например, вашу маму или сестру, на праздник и попросите своего партнера помочь в сборе подарка, в данном случае кольца.
По имеющемуся кольцу
Подарок женщине должен быть сюрпризом, особенно, если вы планируете делать предложение, поэтому померить заранее вам ничего не удастся. Узнать русский размер изделия можно по колечку девушки из ее шкатулки. Главное только не ошибиться с пальцем, на котором она носит кольцо. Понаблюдайте за этим, а затем незаметно измерьте изделие для того, чтобы правильно определить размер:
Обратите внимание на ее размер. Не выбирайте роскошные магазины, чтобы они не понимали ваши планы при измерении колец с бриллиантами. Вы также можете реализовать этот план, собирая подарок для себя по случаю дня рождения или дня святого Валентина. Купите кольцо, подходящее для нее, и вы можете быть уверены, что обручальное кольцо правильно. И если вы старше 50, не менее 0, 50; Если женщина больше средней, добавьте около 0, 50 к этим прогнозам. Аналогичным образом уменьшите размер около 0, 50, если женщина значительно меньше, чем женщина с умеренным удержанием; Обратите внимание на размер его костей и суставов.
- Положите кольцо на бумагу и обведите с внутренней стороны.
- Если вы планируете покупать украшение в магазине, то можете просто показать шаблон продавцу и он быстро подберет подходящее кольцо. В ювелирных магазинах такое часто практикуют.
- Если покупка планируется онлайн, то измерьте линейкой диаметр окружности.
- Запишите результат (миллиметры).
- В таблице русских размеров онлайн-магазина найдите нужный (если необходимо округлить, то делайте для большего показателя).
По диаметру пальца
Второй способ узнать параметры для покупки кольца – это измерить диаметр пальца, а уже потом, исходя из результатов, вычислить само значение. Такой вариант подходит для тех, кто выбирает подарок от себя, ведь вряд ли у вас получится скрыть в тайне намеченный сюрприз, если вы будете пытаться измерить палец девушки или парня. Итак, как измерить размер пальца для кольца:
Иногда маленькие девочки имеют широкие бедра и большие пальцы, и наоборот.
Сообщите об этом ювелиру или вашему консультанту; Этот индекс предназначен только для информационных целей, оставайтесь в режиме ожидания и, для более точной настройки размера, попытайтесь выполнить хотя бы одно из домашних заданий выше.
И, наконец, мы дадим вам 5 лучших практических аспектов, на которые вы не будете возражать, когда решите окончательный размер: всегда лучше выбирать лишний круг, чем слишком мало. Наиболее часто используемое сокращение кольца — более простое и дешевое обслуживание. Если кольцо немного слишком велико, это может быть даже преимуществом: когда пальцы женщин набухают в жаркую или холодную погоду, ожидая или только утром. Кроме того, кольцо уже слишком велико для разгона, и оно совсем не подходит для пальца и заставляет вас чувствовать себя грустным для вашего любимого человека.
- Оберните полоску бумаги вокруг пальца, оставьте отметку.
- Обязательно измерьте и обхват сустава.
- Из двух показателей выберите среднее.
Окончательно определиться поможет размерная сетка колец:
| Обхват в мм | Размер |
| 47,6 | 15,5 |
| 50,8 | 16 |
| 52,4 | 16,5 |
| 54 | 17 |
| 56 | 17,5 |
| 59 | 18 |
| 60 | 18,5 |
| 62 | 19 |
| 64 | 19,5 |
| 66 | 20 |
| 67 | 20,5 |
| 70 | 21 |
| 72 | 21,5 |
| 74,5 | 22 |
Если вы не нашли своего результата, то выбирайте более близкое к нему значение в большую сторону.
Еще один способ того, как определить размер пальца – померить с помощью нитки :
Кольцо легче регулировать, если его стороны не имеют дополнительных отверстий. Если вы боитесь, что кольцо, возможно, потребуется отрегулировать более чем на один размер, вы должны выбрать один вариант камня. Если вы выберете широкое кольцо, купите больший размер, чем планируете. Чем шире основание кольца, тем больше размер необходим. В зависимости от ширины обычно необходимо добавить часть от 0, 25 до 0, 50 размера до предполагаемого нормального размера. Если вы выберете два размера, всегда выбирайте более крупный.
Если вы слышите разные мнения, образцы колец находятся в нескольких размерах, всегда лучше выбирать больший размер, избегая вышеупомянутых угроз. Наша доминирующая рука будет больше, чем другая. Убедитесь, что вы установили размер левой руки. Не бойтесь ошибки небольшого размера. Ваши пальцы, как правило, могут адаптироваться, по крайней мере, к несоответствию половинного размера, и в будущем вы, вероятно, не сможете изменить размер в любом случае.
Обычно женщины меняют размер колец каждые 5-10 лет из-за потери веса или изменений суставов.
- Ниточку обмотайте вокруг пальца так, чтобы она свободно проходила через весь палец.
- Попробуйте ее снять, словно это кольцо.
- Разрежьте нитку пополам и измерьте линейкой.
- Полученную длину нитки в миллиметрах нужно разделить на 3,14, а полученный результат и будет являться вашим размером. К примеру, если обхват пальца равен 61 мм, это соответствует мерке 19.
Только помните, что он зависит и от диаметра сустава, потому как через него украшению необходимо свободно проходить. Измеряться пальцы не должны в жаркую погоду или наоборот, когда сильный холод. Кроме того, пальцы левой руки могут отличаться от правой. Узкое кольцо необходимо выбирать почти точь-в-точь, а изделие потолще стоит покупать побольше.
Таблица размеров колец
В каждой стране существует своя размерная лента. Все вы сталкивались с тем, что русские мерки одежды или обуви отличаются от зарубежных, так происходит и с ювелирными украшениями.
В интернет-магазинах часто указывают соответствия для женских или мужских изделий, так что труда найти нужный у вас не составит. Однако, бывает и так, что продавец допустил оплошность, указав размеры только своей страны. Тогда вы всегда можете воспользоваться таблицами соответствия ниже.
Женские кольца
В зависимости от толщины пальцев, существует более 20 размеров. Определив точным способом свой, вы сможете без труда выбрать понравившееся украшение. Размеры женских колец:
| 15,5 | 4,5 | H 1/2 | 7 |
| 16 | 5 | I 1/2 | 8 |
| 16,5 | 5,5 | J 1/2 | 9 |
| 17 | 6 | L | 11 |
| 17,5 | 6,5 | M | 12 |
| 18 | 7 | N | 13 |
| 18,5 | 7,5 | O | 14 |
| 19 | 8 | P | 15 |
| 19,5 | 8,5 | Q | 16 |
| 20 | 9 | T 1/2 | 17 |
| 20,5 | 9,5 | U 1/2 | 18 |
| 21 | 10 | Y | 19 |
| 21,5 | 10,5 | Z | 20 |
| 22 | 11 | 21 | |
| 22,5 | 11,5 | 22 | |
| 23 | 12 | 23 | |
| 23,5 | 12,5 | 24 | |
| 24 | 13 | 25 | |
| 24,5 | 13,5 | 26 |
Если Вы собрались купить кольцо, но не знаете размера, который Вам подойдет (какой бы фантастической ситуация не казалось, но бывает и такое) — все просто! Первый вариант — сходить в ювелирный магазин, где Вам сразу же определят, какой размер подходит.
Второй вариант, если Вы захотите самостоятельно определить размер, нужно усвоить одно простое правило:
Диаметр пальца (чаще в средней фаланге пальца) и является размером кольца!
Поэтому желающим купить кольцо в интернет-магазине, если у них уже есть кольцо — достаточно просто измерить линейкой диаметр внутренней окружности уже приобретенных ранее украшений.
К примеру, если диаметр кольца составляет 1 см. 8 мм. (1,8 см.), то размер кольца будет — 18.
Если диаметр кольца составляет 1 см. 9 мм. (1,9 см.), то размер кольца будет — 19.
Все просто.
Если возможности измерить кольцо нет, предлагаем самый простой способ измерения размера пальца с помощью обычной нитки. Суть способа заключается в следующем: как известно, размер кольца соответствует диаметру пальца, а его легко определить, разделив длину окружности на число Пи, т.е. на 3,14. Поэтому нужно взять нитку, обмотать ее вокруг пальца для точности 10 раз, завязать в узелок и разрезать в любом месте.
Измерьте длину нитки, полученный результат нужно поделить на число Пи(3,14) и на 10. Таким образом можно легко определить размер пальца.
В таблице Вы найдете соответствия американских(США), английских, немецких и российских размеров колец.
Таблица соответствия размеров колец | ||||
Диаметр (мм) | Окружность (мм) | Россия/Германия | США | Англия |
14,86 | 46,5 | |||
15,27 | 47,8 | 15,5 | ||
15,70 | 49,0 | 15,75 | ||
16,10 | 50,3 | |||
16,51 | 51,5 | 16,5 | ||
16,92 | 52,8 | |||
17,35 | 54,0 | 17,25 | ||
17,75 | 55,3 | 17,75 | ||
18,19 | 56,6 | |||
18,53 | 57,8 | 18,5 | ||
18,89 | 59,1 | |||
19,41 | 60,3 | 19,5 | ||
19,84 | 61,6 | |||
20,20 | 62,8 | 20,25 | 10,5 | |
20,68 | 64,1 | 20,75 | ||
21,08 | 65,3 | 11,5 | ||
21,49 | 66,6 | 21,25 | ||
21,89 | 67,9 | 21,75 | 12,5 | |
22,33 | 69,1 |
Между российской шкалой и общеевропейской шкалой соответствия размеров колец существует четкая математическая зависимость.
В России размер кольца – это его внутренний диаметр. Европейский размер – длина внутренней окружности. Из курса математики L=3.14D, т.е. российский размер надо умножать на число ПИ (3.14), чтобы получить европейский размер, и разделить европейский на 3.14, чтобы получить российский. С американскими, английскими и японскими размерами все гораздо сложнее:
Российский размер = (Американский размер x 0.83) + 11.50
Российский размер = (Японский размер / 3) + 12.67
Советы по измерению размера кольца:
Не выбирайте размер кольца в жару или сильный холод — размеры пальцев варьируются, в зависимости от температуры. Лучше всего выбирать размер при комфортной комнатной температуре.
Лучше не примерять кольца после занятий спортом, или когда вы сильно волнуетесь.
Размер колец лучше определять днем.
Выбор размеров узких и широких колец несколько отличается: для колец шириной от 8 мм лучше выбирать на четверть или даже на половину больший размер.
Измеряя кольцо, берите его чуть-чуть большего размера, потому что пальцы несколько увеличиваются в жару или при потреблении большого количества жидкости.
Не стоит перестараться с запасом, иначе в холод кольцо может начать спадать.
Размеры пальцев правой и левой руки различаются. Как правило, размеры левой руки меньше. Потому каждый отдельный палец надо измерять индивидуально.
abatec.ru
Американские и китайские размеры колец
Если вы знаете американские и китайские размеры колец, то с легкостью сможете заказать ювелирные изделия в этих странах. Вы имеете прекрасную возможность с большей выгодой для себя приобрести данные украшения в различных онлайн-магазинах и на интерактивных аукционах.
Кольцо
Русский
Зачастую покупку давно желаемого колечка тормозит одно обстоятельство, с которым сталкиваются, пожалуй, все. Это правильное и точное определение обхвата.
Чтобы узнать свой размер кольца (если это Россия или США), то для начала необходимо измерить обхват пальца:
- Для этого берем хлопчатобумажную нить и обматываем ею палец 5 раз. Нить не надо перетягивать, но и болтаться на пальце она также не должна;
- Затем отрезаем этот метраж и измеряем;
- Это число делим на 15,7;
- Цифра, которая получилась при делении, будет точным параметром кольца, который принят в России.

Американский
Чтобы узнать американские размеры, необходимо пользоваться расчетами длины кольцевой окружности в миллиметрах, или ориентироваться на обхват пальца, как показано на фото. Значению длины окружности будет соответствовать номер объема. К примеру, охват вашего пальца 52,8 миллиметров. Для США это будет 6,5. У нас — 17-й или 17,5 соответственно.
Таблица соответствия
Если вы хотите четко и безошибочно определять размеры колец как в России, так и в странах Европы и США, то лучше всего для этих целей использовать специализированную таблицу соответствий. Здесь существует определенная зависимость:
- для россиян — является значение внутреннего диаметра кольца;
- у европейцев — складывают из расчета длины внутри окружности изделия.
Чтобы получить американские размеры, принятые в Европе, следует российский умножить на 3,14. Если нужно получить параметр, принятый в России, то евроразмер делим на это же число.
Для определения американских и китайских параметры нужно произвести следующие вычисления:
- Обхват РФ = (параметр в Англии множим на 0.4) + 11.50 …. где A=1, B=2, C=3, D=4….. Z=26…;
- Обхват РФ = (параметр в Англии множим на 0.83) + 11.50;
- Обхват в РФ= (Японский параметр делим на 3) + 12.67
Российские и европейские размеры математически четко зависимы. Сейчас стали более актуальными охват колец в миллиметрах, нежели их региональные европейские соответствия.
Несколько советов
- Не стоит идти примерять понравившееся кольцо, если на улице сильно жарко или холодно. Размеры пальца будут соответствовать погоде и температуре воздуха. Лучше это делать в оптимальные температурные условия;
- Если вы незадолго до примерки хорошо потрудились физически или позанимались спортом, то покупку украшения отложите до следующего раза. Это же касается случаев, если вы переживаете или взволнованы;
- Примерку делаем днем, как видно на фото;
- Если кольца сильно широкие или же напротив узкие, то в первом случае (ширина начинается с 8 миллиметров) выбирайте номер на четверть или половину больше;
- Так как пальцы отекают во время жары или после приема жидкости, то старайтесь выбирать изделия чуть больших размеров.
Но тут нужно следить за тем, чтобы изрядно не переусердствовать. Иначе однажды вы кольцо просто потеряете; - Измеряйте каждый палец отдельно, так как охваты разной руки не бывают одинаковыми. Обычно пальцы правой руки чуть больше;
- Если вы решили купить кольцо в онлайновом магазине или на аукционе (ЕВау), однако не знаете своего параметра, то стоит выяснить миллиметровую длину окружности нужного вам кольца у продавцов;
- Если же размеры не подошли вам, то особого повода для расстройств нет, так как их можно изменить, воспользовавшись услугами ювелира компании, где вы приобрели вещь.
Подведем итоги
Если вы учтете все приведенные выше правила и инструкции, то ваш выбор американского или китайского размера, наверняка, окажется верным и точным.
luxediamond.ru
Recensioni американские размеры колец — Shopping online e recensioni per американские размеры колец su AliExpress
Promozioni hot in американские размеры колец: le migliori offerte e sconti online con recensioni di clienti reali.
Grandi notizie! Sei nel posto giusto per американские размеры колец. Ormai sai già che, qualunque cosa tu stia cercando, lo troverai su AliExpress. Abbiamo letteralmente migliaia di ottimi prodotti in tutte le categorie di prodotti. Sia che tu stia cercando etichette di fascia alta o acquisti economici e economici, ti garantiamo che è qui su AliExpress.Troverai negozi ufficiali per i marchi oltre a piccoli venditori indipendenti di sconti, i quali offrono metodi di pagamento rapidi e affidabili, oltre che convenienti e sicuri, indipendentemente da quanto tu scelga di spendere.
AliExpress non sarà mai battuto per scelta, qualità e prezzo. Ogni giorno troverai nuove offerte solo online, sconti sui negozi e l’opportunità di risparmiare ancora di più raccogliendo i coupon.
Ma potresti dover agire in fretta poiché questo американские размеры колец è destinato a diventare uno dei best seller più richiesti in pochissimo tempo. Pensa quanto saranno gelosi i tuoi amici quando dici che hai il tuo американские размеры колец su AliExpress. Con i prezzi più bassi online, le tariffe di spedizione economiche e le opzioni di ritiro locali, puoi realizzare un risparmio ancora maggiore.
Se hai ancora due menti американские размеры колец e stai pensando di scegliere un prodotto simile, AliExpress è un ottimo posto per confrontare prezzi e venditori. Ti aiuteremo a capire se vale la pena pagare un extra per una versione di fascia alta o se stai ottenendo un acquisto altrettanto vantaggioso acquistando l’articolo più economico. Inoltre, se vuoi solo concederti e dare un’occhiata alla versione più costosa, AliExpress si assicurerà sempre che tu possa ottenere il miglior prezzo per il tuo denaro, anche facendoti sapere quando starai meglio ad aspettare che inizi una promozione e i risparmi che puoi aspettarti di fare.
AliExpress è orgogliosa di assicurarsi di avere sempre una scelta informata quando acquisti da una delle centinaia di negozi e venditori sulla nostra piattaforma. Ogni negozio e venditore è valutato per il servizio clienti, il prezzo e la qualità dei clienti reali. Inoltre puoi scoprire il negozio o le singole valutazioni del venditore, oltre a confrontare prezzi, offerte di spedizione e sconti sullo stesso prodotto leggendo commenti e recensioni lasciati dagli utenti. Ogni acquisto è valutato a stelle e spesso ha commenti lasciati dai precedenti clienti che descrivono la loro esperienza di transazione in modo da poter acquistare con fiducia ogni volta. In breve, non devi crederci sulla parola — ascolta i nostri milioni di clienti soddisfatti.
E se sei nuovo su AliExpress, ti faremo conoscere un segreto.
Poco prima di fare clic su «acquista ora» nel processo di transazione, prenditi un momento per controllare i coupon e risparmierai ancora di più. Puoi trovare coupon negozio, coupon AliExpress o puoi raccogliere coupon ogni giorno giocando ai giochi sull’app AliExpress. Inoltre, poiché la maggior parte dei nostri venditori offre la spedizione gratuita, riteniamo che accetti di ottenere questo американские размеры колец a uno dei migliori prezzi online.
Abbiamo sempre l’ultima tecnologia, le ultime tendenze e le etichette più discusse. Su AliExpress, qualità, prezzo e servizio di alta qualità sono sempre di serie. Inizia la migliore esperienza di shopping che tu abbia mai, proprio qui.
американские размеры колец на русские — 20 рекомендаций на Babyblog.ru
1.
«Алиса в стране чудес» была запрещена в Китае из-за наличия в книге говорящих зверей.
2. Дж.Р.Р.Толкин печатал всю трилогию «Властелина колец» двумя пальцами.
3. В «Сказках 1000 и 1 ночи» Аладдин изначально был китайцем.
4. Книга Джастина Бибера входит в список бестселлеров по версии New York Times (да-да, он тоже умеет писать).
5. Первый перевод «Гамлета» на русский язык выполнил писатель Александр Сумароков и озаглавил «Омлет, принц Датский».
6. Библиотека Гарвардского университета хранит 4 юридические книги, написанные на человеческой коже.
7. Книга «Путешествия Гулливера» описала размер и скорость вращения лун — спутников Марса за 100 лет до того, как это сделали астрономы.
8. «Приключения Тома Сойера» — первая книга, текст которой был набран на печатной машинке.
9. Книги о Гарри Поттере — самые запрещаемые в Америке из-за «пропаганды оккультизма, язычества и отрицания христианских ценностей».
10. В романе американского писателя Натаниэла Уэста «День саранчи» (1939 г.
) есть персонаж по имени Гомер Симпсон.
11. Владимир Набоков писал «Лолиту» в блокноте во время поездок по Америке для коллекционирования бабочек. Жена писателя Вера помешала ему сжечь наброски романа.
12. Самая продаваемая в Великобритании книга всех времен — «50 оттенков серого».
13. «Винни-Пух» был изначально запрещен в Америке, Турции и Великобритании. Здесь сыграло роль не только наличие говорящих зверюшек, но и тот факт, что малыш Пятачок вызывал негативную реакцию у мусульманской части читателей.
14. Шерлок Холмс чаще других литературных персонажей становился героем кино и телесериалов.
15. «Робинзон Крузо» считается первым английским романом. Кстати, роман о приключениях Робинзона имеет продолжение, в котором герой терпит кораблекрушение у берегов Юго-Восточной Азии и вынужден добираться в Европу через всю Россию. В частности, он в течение 8 месяцев пережидает зиму в Тобольске.
16. Творчество одного из популярных современных авторов — Паоло Коэльо — полностью запрещено в Иране.
А почему, местные власти так и не удосуживаются объяснить.
17. Первая рукописная Библия (с момента изобретения печатного станка) была написана за 12 лет и стоит сейчас 8 млн долларов.
18. Самым популярным писателем всех времен и народов является Агата Кристи. Ее детективы печатаются на 44 языках мира.
19. Было издано уже более двух миллиардов книг. Самой ходовой книгой остается Библия. Второе место занимает «Книга рекордов Гиннесса».
20. Александр Дюма нанимал «литературного негра» — романиста Огюста Маке, чтобы тот помог именитому автору написать «Трех мушкетеров» и «Графа Монте-Кристо».
21. Франц Кафка перед смертью просил своего друга Макса Брода сжечь все его работы. «Замок», «Процесс» и «Америка» были опубликованы против воли писателя.
22. «Моби Дик» Германа Мелвилла был изначально опубликован без эпилога из-за сбоя принтера.
23. Чарльз Диккенс писал «Рождественскую историю» в течение шести недель.
24. В самом первом комиксе «Супермэн» главный герой был лысым и страдал манией величия.
25. Барбара Картленд, самый плодовитый автор по версии «Книги рекордов Гиннеса», писала по роману каждые две недели.
26. Первым романом в истории считается японская «Повесть о Гэндзи» (около 1007 г.), авторство которой приписывается Мурасаки Сикибу, даме при дворе императрицы Сёси.
27. Больше всего произведений написал испанский драматург Лопе де Вега. Его перу принадлежит 1800 пьес.
28. В названии романа Льва Толстого «Война и мир» слово «мир» употреблено как антоним войне (дореволюционное «миръ»), а не в значении «окружающий мир» (дореволюционное «мiръ»). Все прижизненные издания романа выходили именно под названием «Война и миръ», однако из-за опечаток в разных изданиях в разное время, где слово написали как «мiръ», до сих пор не утихают споры об истинном значении названия романа.
29. В одно из первых изданий толкового словаря Ожегова решили не включать названия жителей городов, чтобы лишний раз не увеличивать его размер. Исключение было сделано только для слова «ленинградец», но не в знак особого уважения жителям Ленинграда.
Просто было необходимо разделить слова «ленивый» и «ленинец», которые стояли рядом, дабы не порочить образ юных ленинцев.
30. Узниками Бастилии были не только люди. Однажды в тюрьму была заключена знаменитая Французская энциклопедия, составленная Дидро и Д`Аламбером. Книгу обвиняли в том, что она наносит вред религии и общественной морали.
Азиатские размеры. В чем подвох?
НравитсяПонравилосьУдалить 0
Как бы то ни было, но самые популярные места интернет-шопинга — китайские сайты.
TaoBao, Aliexpress, Ebay, Focalprice и т.д. Каждое название звучит как музыка. Здесь хороший выбор, много любопытных предложений, и, что самое приятное- низкие цены. Но практически каждый покупатель при первом заказе одежды сталкивается с разочарованием: указанный в описании размер оказывается в несколько раз меньше российских. Сегодня мы подготовили для Вас шпаргалку, по которой Вы сможете с легкостью ориентироваться в особенностях не только азиатских, но и европейских размеров!
К любому лоту всегда дается описание его длины, обхвата и габаритов. Иногда данные указываются в сантиметрах, иногда в дюймах, и периодически просто при помощи условных обозначений XS, S, M и L. Если Вы избегаете масс-маркета и всегда предпочитали отечественного производителя, то давайте для начала проведем ликбез соответствия российских и американских размеров, так как в дальнейшем мы будем прибегать к обозначению последних.
Какими бывают размеры?
Итак, российские показатели — это наши данные в сантиметрах, поделенные на два.
То есть если Ваш обхват груди 92, то Вам следует выбирать одежду с бирочкой 46 (92 разделить на 2= 46). В американских же лейблах (и большинстве европейских) используются буквы S, M и L, с дополнением в виде приставки X (eXtra). eXtra Small (XS)- Small (S)- Medium (M)- Large (L)- eXtra Large (XL)- eXtra eXtra Large (XXL) и т.д. Всем буквенным обозначениям есть российские эквиваленты. S — 44 размер, M — 46 размер, L — 48 размер и далее по аналогии.
Но так же мы можем встретить и европейские марки одежды, где заместо букв используются цифры (36, 38, 40, др.), что первоначально может сбить с толку, и мы примемся искать привычные нам данные, удивляясь, что как-то вещь сидит не очень, а точнее — откровенно висит. Все дело в том, что европейские размеры отличаются от российских на шесть позиций. То есть плюсуйте к указанным на бирочке цифры +6, и в итоге получите необходимые данные. К примеру, евро 38 — российский 44.
| Российский размер | Американский размер | Европейский размер |
| 40 | XXS | 34 |
| 42 | XS | 36 |
| 44 | S | 38 |
| 46 | M | 40 |
| 48 | L | 42 |
| 50 | XL | 44 |
| 52 | XXL | 46 |
И так как с вводной частью, надеюсь, все понятно, приступим к изучению реалий азиатского рынка.
Азиатские реалии
Первое, что мы настоятельно советуем — вооружиться линейкой и каким-либо предметом гардероба из Вашей повседневной жизни. Четко измерьте длину футболки, платья или брюк и запишите в блокнот. Так Вы заранее будете знать, на какой длине закончится заказываемый свитер, и сможет ли он согреть Ваш живот, либо попросту прикроет грудь.
Если в описании товара есть четкая таблица с размерами, Вы сможете примерно представить конечный итог. На всякий случай, переведите свои измерения в дюймы. 1 дюйм — примерно 2,5 см. Учтите, что лучше все же заказывать на размер больше, так как подшить одежду всегда проще, нежели растянуть.
Характеристики длины, обхвата и ширины товара
Если же подобной таблицы нет, и Вам даются на выбор только размеры S, M или L, совсем не лишним будет написать продавцу и уточнить, какие размеры указаны, американские или китайские? Азиатские обозначения на 1-2 размера меньше, чем привычные нам американские!
Соотношение азиатских и американских размеров
Важно помнить про отличия и при покупки обуви.
В данном случае повсеместно используются зарубежные обозначения (5, 6, 7 и т.д.). Отмечу сразу, что чаще всего самым большим женским размером понравившихся туфелек будет 39, поэтому тем, у кого 40 и 41 на китайских сайтах ловить практически нечего, к сожалению. У мужчин ситуация более перспективная.
Размеры обуви
Для того, чтобы было проще запомнить, можно все в тот же блокнот выписать свои размеры в различных системах исчисления. Поверьте, это займет минуту, зато потом Вы сможете с легкостью ориентироваться в мире не только он-лайн, но и офф-лайн шопинга, в особенности — заграницей.
Таблица соответствия размеров одежды
Размеры обуви в различных странах
Так же полезной для девушек (и их мужчин) станет таблица соответствия размеров колец. Ведь выбор украшений на китайских сайтах действительно поражает, а найти там кольцо для помолвки, к примеру, — весьма неплохая идея.
Диаметры и обозначения для колец
Подводные камни
А теперь немного поговорим о подвохах.
Начнем с regular, или же one size, который особенно часто встречается при покупке нижнего белья или чулочной продукции. Единый размер — обычные характеристики азиатской девушки. То есть это всегда либо XS, либо, в лучшем случае, S. В плане колготок, размер 2 либо 3 (то есть не для длинноногих красавиц). Единственный вариант для тех, кто не подходит под китайские представления о стандартности- искать продукцию с резинкой. К примеру, леггинсы regular size без проблем подходят и девушкам 46 и 48 размера. Как видите, не все потеряно!
И напоследок, расскажу о подвохе, который, увы и ах, практически невозможно предугадать. О нерадивых продавцах. Такое случается редко, но случается. Вы можете получить несколько не то, что заказывали. Так как Ваш размер, к примеру, закончился на складе, и продавец решил, без предупреждения, прислать Вам то, что осталось — чаще всего очень маленькие размеры. Не стесняйтесь в таком случае открывать диспуты и требовать Ваши деньги обратно!
Ну а мы, в свою очередь, постараемся всегда снабдить Вас полезной информацией и сориентировать в мире зарубежного интернет-шопинга.
Приятных Вам покупок!
Международная таблица размеров колец для удобной посадки — Ганноверские ювелиры
Для наших международных клиентов используйте эту таблицу, чтобы преобразовать систему размеров колец в вашей стране и размер колец в США для обеспечения комфортной посадки. Чтобы узнать о разнице между комфортной посадкой и стандартной посадкой, посетите нашу страницу размеров колец.
Найдите свою страну в списке ниже, чтобы определить, какую систему размера кольца использовать:
- Размер кольца в США: США, Канада, Мексика
- Британский размер кольца: Великобритания, Австралия, Новая Зеландия, Южная Африка, Ирландия
- Европейский размер кольца: Франция, Россия, Дания, Швеция, Норвегия, Финляндия
- Размер немецкого кольца: Германия, Аргентина
- Размер бразильского кольца: Бразилия
- Размер японского кольца: Япония, Китай, Корея, Гонконг, Тайвань, Сингапур
- Размер швейцарского кольца: Швейцария, Испания
Если вы не видите свою страну в списке, скорее всего, она все еще использует одну из вышеуказанных систем размера кольца.
Если вы сомневаетесь, лучше всего обратиться к нескольким местным ювелирам, чтобы подобрать подходящий размер.
Определите размер кольца в США за 2 простых шага *
1. Система размеров кольца: Выберите системубританскийЕвропейскийБразильскийНемецкийЯпонскийШвейцарский 2. Размер кольца: Выберите размерВаш размер кольца в США (удобная посадка) ___
* Отказ от ответственности: Пожалуйста, поймите, что этот инструмент преобразования и диаграмма предоставляются как есть, без каких-либо гарантий. Его цель — дать вам общее представление о размере вашего кольца.Это не следует рассматривать как официальную рекомендацию Hanover Jewelers, и мы не несем ответственности, если выбранный вами размер кольца не подходит. Слишком много отклонений; включая субъективное мнение о посадке, времени суток (да, размер вашего пальца может отличаться между утром и ночью) и носить только половину размера, а не четверть размера среди прочего; что мы просто не можем все учесть.
| Размер США (США, Калифорния, MX) | Британский Размер (Великобритания, AU, NZ, ZA, IE) | Европейский размер (FR, RU, DK, SE, NO, FI) | Немецкий размер (DE, AR) | Бразильский размер (BR) | Японский размер (JP, CN, KR, HK, TW, SG) | Швейцарский размер (CH, ES) |
| 3 | F 1/2 | 44.0 | 14,00 | 7 | 4 | 4,0 |
| 3 1/4 | г | 44,5 | 14,25 | 8 | 5 | 5,0 |
| 3 1/2 | G 1/2 | 45. 5 | 14,50 | 9 | | 5,5 |
| 3 3/4 | H | 46,0 | 14,75 | | 6 | 6,0 |
| 4 | H 1/2 | 46.5 | 15,00 | 10 | 7 | 7,0 |
| 4 1/4 | I | 47,0 | | | | 7,5 |
| 4 1/2 | Дж | 48. 0 | 15,25 | 11 | 8 | 8,0 |
| 4 3/4 | Дж 1/2 | 48,5 | 15,50 | 12 | | 9,0 |
| 5 | К | 49.0 | 15,75 | 13 | 9 | 9,5 |
| 5 1/4 | К 1/2 | 50,0 | | | 10 | 10,0 |
| 5 1/2 | л | 50. 5 | 16,00 | 14 | | 10,5 |
| 5 3/4 | л 1/2 | 51,0 | 16,25 | | 11 | 11,5 |
| 6 | M | 51.5 | 16,50 | 15 | | 12,0 |
| 6 1/4 | M 1/2 | 52,5 | 16,75 | 16 | 12 | 12,5 |
| 6 1/2 | N | 53. 0 | 17,00 | | 13 | 13,5 |
| 6 3/4 | N 1/2 | 53,5 | | 17 | | 14,0 |
| 7 | О | 54.5 | 17,25 | | 14 | 14,5 |
| 7 1/4 | О 1/2 | 55,0 | 17,50 | 18 | | 15,0 |
| 7 1/2 | -P | 55. 5 | 17,75 | 19 | 15 | 16,0 |
| 7 3/4 | пол.1 / 2 | 56,5 | 18,00 | | 16 | 16,5 |
| 8 | Q | 57.0 | 18,25 | 20 | | 17,0 |
| 8 1/4 | Q 1/2 | 57,5 | | | 17 | 18,0 |
| 8 1/2 | R | 58. 0 | 18,50 | 21 | | 18,5 |
| 8 3/4 | R 1/2 | 59,0 | 18,75 | 22 | 18 | 19,0 |
| 9 | S | 59.5 | 19,00 | | 19 | 20,0 |
| 9 1/4 | S 1/2 | 60,0 | 19,25 | 23 | | 20,5 |
| 9 1/2 | т | 61. 0 | 19,50 | 24 | 20 | 21,0 |
| 9 3/4 | т 1/2 | 61,5 | 19,75 | | | 21,5 |
| 10 | U | 62.0 | 20,00 | 25 | 21 | 22,5 |
| 10 1/4 | U 1/2 | 63,0 | | | 22 | 23,0 |
| 10 1/2 | В | 63. 5 | 20,25 | 26 | | 23,5 |
| 10 3/4 | В 1/2 | 64,0 | 20,50 | 27 | 23 | 24,5 |
| 11 | Вт | 64.5 | 20,75 | | 24 | 25,0 |
| 11 1/4 | Вт 1/2 | 65,5 | | 28 | | 25,5 |
| 11 1/2 | х | 66. 0 | 21,00 | | 25 | 26,0 |
| 11 3/4 | Х 1/2 | 66,5 | 21,25 | 29 | 26 | 27,0 |
| 12 | Я | 67.5 | 21,50 | 30 | | 27,5 |
| 12 1/4 | Y 1/2 | 68,0 | 21,75 | | 27 | 28,0 |
| 12 1/2 | Z | 68. 5 | 22,00 | 31 | 28 | 29,0 |
| 12 3/4 | Z 1/2 | 69,0 | | | | 29,5 |
| 13 | Z + 1 | 70.0 | 22,25 | 32 | 29 | 30,0 |
| 13 1/4 | Z + 1 1/2 | 70,5 | 22,50 | 33 | | 31,0 |
| 13 1/2 | Z + 2 | 71. 0 | | 34 | 30 | 32,0 |
| 13 3/4 | Z + 2 1/2 | 71,5 | 22,75 | 35 | | 32,5 |
| 14 | Z + 3 | 72.0 | 23,00 | | 31 | 33,0 |
| 14 1/4 | Z + 3 1/2 | 72,5 | 23,25 | 35 | 32 | 33,5 |
| 14 1/2 | Z + 4 | 73. 5 | 23,50 | | | 34,5 |
| 14 3/4 | Z + 4 1/2 | 74,0 | | 36 | 33 | 35,0 |
| 15 | Z + 5 | 74.5 | 23,75 | 37 | | 36,0 |
| 15 1/4 | Z + 5 1/2 | 75,0 | 24,00 | | 34 | 36,5 |
| 15 1/2 | Z + 6 | 76. 0 | 24,25 | 38 | | 37,0 |
| 15 3/4 | Z + 6 1/2 | 76,5 | 24,50 | | 35 | 37,5 |
| 16 | Z + 7 | 77.0 | | 39 | | 38,5 |
Заявление об ограничении ответственности: Пожалуйста, поймите, что этот инструмент преобразования и диаграмма предоставляются как есть, без каких-либо гарантий.
Его цель — дать вам общее представление о размере вашего кольца. Это не следует рассматривать как официальную рекомендацию Hanover Jewelers и
Мы не несем ответственности, если выбранный вами размер кольца не подходит.
Слишком много отклонений;
включая субъективное мнение о соответствии, времени суток (да, размер вашего пальца может отличаться от
утром и вечером), и носить только половину размера, а не четверть, среди прочего; что мы
просто не могу все учесть.
Используйте стрелки влево / вправо для навигации по слайд-шоу или проведите пальцем влево / вправо при использовании мобильного устройства
| Дата | Оценка | Комментарий клиента | Ответ поставщика |
|---|---|---|---|
| 19-ноя-2020 | org/Rating»> | Фантастические люди всегда заставляют вас чувствовать себя важным и держат вас в курсе на протяжении всего процесса. Аноним Анонимный | Спасибо, что нашли время оставить такой прекрасный отзыв, мы очень рады, что вам понравилось работать с нами. Это было не … |
| 16 октября 2020 г. | Обслуживание клиентов было восхитительным. Аноним Анонимный | Здравствуйте, Спасибо, что нашли время оставить нам отзыв о сервисе от Serendipity! Я так рад слышать вас с … | |
| 12 октября 2020 г. | Рейтинг обслуживания: Обслуживание клиентов великолепное, вы чувствуете себя особенным. Аноним Анонимный | Рейтинг сервиса: Здравствуйте, Спасибо, что оставили нам сегодня отзыв о нашем сервисе. Это было приятно читать. Белый … | |
| 16-сен-2020 | Рейтинг сервиса: Превосходное обслуживание клиентов и продукт высшего качества | Рейтинг сервиса: Здравствуйте, Спасибо, что нашли время, чтобы оставить нам отзыв об услуге, которую вы получили от Serendipity.Мы … | |
| 16-сен-2020 | Оценка обслуживания: У меня был совершенно потрясающий опыт работы с Serendipity Diamonds. Я хотел найти идеальное кольцо для моего партнера, и команда Serendipity Diamonds была чрезвычайно полезна с отправкой фотографий и быстро отвечала на все мои электронные письма.Команда настроила кольцо LOTR для моего партнера . Аноним Анонимный | Рейтинг сервиса: Здравствуйте, Большое спасибо за то, что оставили нам сегодня отзыв о полученном вами сервисе. Ух ты, чем … | |
| 04-сен-2020 | Очень хорошее обслуживание клиентов Аноним Анонимный | Нет комментариев | |
| 03-сен-2020 | Оценка обслуживания: Служба поддержки клиентов не может быть лучше, и они помогли мне создать самый совершенный кулон-пасьянс с бриллиантами в форме сердца для моей жены! Сделка прошла безупречно, пока я работал со мной за тысячи миль за границу.Спасибо! Аноним Анонимный | Нет комментариев | |
| 03-сен-2020 | Рейтинг сервиса: С ними так приятно иметь дело.Ничего особенного не было. Мое кольцо было разработано в соответствии с камнем, который у меня уже был, и обслуживание, которое я получил, было отличным от начала до конца. Аноним Анонимный | Оценка обслуживания: Большое спасибо за то, что нашли время оставить такой прекрасный отзыв, мы так рады, что вы остались довольны … | |
| 03-сен-2020 | Рейтинг сервиса: Весь процесс от заказа до международной доставки был потрясающим. Чрезвычайно вежливое и профессиональное обслуживание, включая феноменальное мастерство изготовления кольца. Я получил немедленные ответы от персонала и всегда был в курсе. Высоко … Аноним Анонимный | Рейтинг сервиса: Большое спасибо за то, что нашли время оставить нам отзыв об услуге, которую вы получили от команды в Serendipi . .. | |
| 16 августа 2020 г. | Оценка обслуживания: Очень полезные и информативные и сказочные кольца Аноним Анонимный | Нет комментариев |
Российский «Властелин колец» — это история с точки зрения Мордора
В ВВС эскадрильи — это базовый уровень операций, их «бьющееся сердце», как сказал начальник штаба ВВС генерал.Их называет Дэвид Голдфейн.
Чтобы лучше понять, насколько важна эскадрилья для ВВС, также важно знать, что такое эскадрилья.
В ВВС эскадрилья — это самый низкий уровень командования с элементом штаба. Эскадрильями обычно командует подполковник, хотя меньшими эскадрильями могут командовать майоры, капитаны и иногда даже лейтенанты. Эскадрильи также могут различаться по размеру и обычно идентифицируются численно и по функциям.Примером может служить 60-я авиационная эскадрилья или 355-я эскадрилья связи.
Две или более эскадрилий образуют группу. В ВВС группы обычно основываются на назначении эскадрилий с аналогичными функциями. Например, эскадрилья снабжения, транспорт и эскадрилья обслуживания самолетов будут переданы группе материально-технического обеспечения, летные эскадрильи будут назначены в оперативную группу, а стоматологическая эскадрилья и медицинская эскадрилья — в медицинскую группу.Группы, в свою очередь, затем назначаются крылу с тем же номером. Например, 49-я группа логистики закреплена за 49-м истребительным авиаполком на базе ВВС Холломан в Нью-Мексико.
Однако эта эскадрилья на самом деле предшествует ВВС. В марте 1913 года первая эскадрилья была создана, когда армия приказала создать 1-ю временную авиационную эскадрилью армейской авиации, известную сегодня как 1-я разведывательная эскадрилья, старейшее летное подразделение армии США.
Создание высших эшелонов произошло позже, когда роль авиации возросла во время Первой мировой войны.Группы и крылья были сформированы, чтобы решить проблему координации действий в воздухе между рассредоточенными авиационными эскадрильями. Хотя в Первой мировой войне произошла первая крупная военная мобилизация, она также стала свидетелем первого крупного сокращения. То, что составляло более 660 авиационных единиц, к 1919 году сократилось до немногим более 70 эскадрилий, а авиационная составляющая численностью 19 000 солдат сократилась примерно до 5 процентов от того, что было раньше. Никто не мог предположить, что через два десятилетия воздушная составляющая снова обнаружит расширение.
108-я бомбардировочная эскадрилья во время боевых действий в Корее в 1951 году.
(фото ВВС США)
С началом Второй мировой войны тогдашний президент Франклин Д. Рузвельт признал растущее значение авиации. Он верил, по словам его советника Гарри Хопкинса, «что авиация выиграет войну». То, что затем было переименовано в армейский авиационный корпус, хорошо финансировалось и быстро росло, увидев больше самолетов и эскадрилий, чем когда-либо за всю его историю — от рабочей силы, состоящей из 26 500 солдат в 1939 году, до ошеломляющих 2253 000 человек к 1945 году.
Воздушный компонент значительно сократился после окончания войны, и, несмотря на то, что в соответствии с Законом о национальной безопасности 1947 года он стал отдельным подразделением, количество летчиков и эскадрилий продолжало колебаться и сокращаться с годами.
В нынешних ВВС, возглавляемых Уилсоном, Голдфейном и старшим старшим сержантом ВВС Калетом О. Райтом, стремление к обновлению эскадрилий, расширению прав и возможностей летчиков и поддержке инноваций сильнее, чем когда-либо, но многие не знают об этих концепциях.
были реализованы многими успешными военачальниками прошлого.Ярким примером является одна из самых знаковых фигур военно-воздушных сил США: человек, известный своим мастерством на поле боя в воздухе и знаменитой своеобразной листвой на губах, Биг. Генерал Робин Олдс.
«Волчья стая» летчиков 8-го тактического истребительного авиаполка несут своего командира полковника Робина Олдса после его возвращения из своего последнего боевого вылета над Северным Вьетнамом 23 сентября 1967 года. Это задание было его сотым «официальным» боевым заданием, но его Фактическое количество боевых задач за его турне составило 152.Олдс возглавлял 8-ю TFW Wolfpack с сентября 1966 года по сентябрь 1967 года, на его счету 24 победы на МиГах, что является самым большим рекордом воздушных боев среди F-4 Wing во Вьетнамской войне.
(ВВС США)
Наряду с вдохновляющей традицией ВВС «Усы Марч», Олдс был известен как тройной ас, сбивший 17 самолетов противника за свою карьеру. Наряду с похвалами, которые он получил как опытный летчик-истребитель, Олдс был известен своим новаторским руководством.
Во Вьетнаме он возглавил 8-й тактический истребительный авиаполк, уничтоживший 24 реактивных самолета МиГ-15 Микояна-Гуревича — непревзойденное количество для того конфликта.
Один из самых значительных моментов в его карьере был 2 января 1967 года, во время операции «Боло», когда он, будучи полковником, поручил планирование экспериментальной и высокозатратной миссии квартету молодых офицеров и пилотов-ветеранов. в его подразделении. Операция «Боло» была задумана в ответ на использование МиГ-21 в Северном Вьетнаме для успешного сбивания самолетов F-105 Thunderchief. Олдс заметил, что маршруты F-4 Phantoms и F-105 Thunderchiefs стали предсказуемыми. Аналитики вражеской разведки прослушивали радиопередачи и могли распознавать позывные F-105 и F-4 и схемы полета и использовать эту информацию для нацеливания на более уязвимые F-105.Олдс поручил своим людям разработать план, чтобы обмануть северных вьетнамцев, заставив их думать, что F-4 были F-105. Затем F-4 были оснащены модулями постановки помех, которые обычно носят F-105, чтобы их электронная подпись была такой же, а также использовали те же позывные и летали по тем же маршрутам и группам, что и F-105.
Излишне говорить, что операция прошла успешно и за один вылет было сбито больше всего МиГов.
Фрэнсис С. Габрески (слева) поздравляет еще одного аса Второй мировой и Корейской войн, майора.Уильям Т. Уиснер (в центре). Справа — подполковник Джордж Джонс, ас МиГа с 6,5 убийствами.
(ВВС США)
В комментарии, посвященном памяти Олдса в марте 2018 года, написанном подполковником Бобби Шмиттом, командиром 16-й космической эскадрильи, он сказал, что операция «Боло» «показала, что инновации могут работать, когда лидер доверяет и расширяет свои возможности. людей, которых нужно придумывать и внедрять новые и лучшие способы ведения бизнеса ».
Он также называл Олдса «лидером-новатором» в то время, когда ВВС остро нуждались в инновациях для решения сложных задач, в которых на кону стояли жизни многих людей.
Так же, как Олдс, Голдфейн и Уилсон просят летчиков помочь придумать идеи по укреплению эскадрилий, чтобы силы были готовы к битве 21-го века.
Они дошли до того, что пересмотрели все инструкции ВВС и дали командирам возможность маневрировать и принимать решения, а также побудили командиров крыльев позволить командирам эскадрилий принимать важные решения.
Капитан Лейси Келлинг, ответственный офицер 34-го авиационного подразделения, и члены 34-й бомбардировочной эскадрильи капитан.Лилиан Прайор, пилот B-1; Капитан Даниэль Зидак, офицер систем вооружения; Капитан Лорен Олм, пилот B-1; и 1-й лейтенант Кимберли Аутон, офицер по системам вооружения, проводят предполетный инструктаж перед вылетом исключительно женщин с базы ВВС Эллсуорт, Южная Дакота, 21 марта 2018 г. Полет проводился в честь Месяца истории женщин и состоял из рутинных процедур. обучение на прилегающей территории.
(фото ВВС сержанта Джетте Карра)
Во время обновления ВВС в сентябре 2017 года, когда Голдфейн говорил о создании здоровых эскадрилий, которые преуспеют в многодоменной войне и готовы возглавить объединенные силы, он в заключение сказал: «Это секретарь и моя работа — высвободить блеск, присущий летчикам в наших ВВС», — чувство, которое перекликается с голосами великих руководителей ВВС прошлого, настоящего и будущего.
Эта статья впервые появилась в журнале Airman Magazine.
Подпишитесь на @AirmanMagazine в Twitter.
Подробнее о «Мы сильные»
Традиции обручальных колец со всего мира
Хотя обручальное кольцо считается одним из самых универсальных символов в мире, способы его изготовления и ношения различаются в разных культурах и религиях.
Хотя брак — это то, что мы находим почти во всех странах мира, каждая культура следует своим собственным традициям, когда дело касается свадебной одежды, цветовых тем, ритуалов благословения, свадебной еды и так далее.То же самое можно сказать и об обручальных кольцах, которые, несмотря на то, что они являются одним из самых универсальных символов любви и единства между двумя людьми, изготавливаются и носятся по-разному по всему миру.
Прежде чем мы перейдем к этому, давайте сначала исследуем историю этого драгоценного украшения.
Ранние интерпретации обручального кольца
Хотя Египет считается родиной современного обручального кольца, эта традиция была принята еще во времена неандертальцев.
Неандертальцы обвязывали запястья или лодыжки невесты ветками, травой и тросточкой; они считали это признаком верности и дружбы. Они также считали, что это сохранит душу жены нетронутой и позволит ей жить дольше. Позже другие культуры приняли свои собственные уникальные интерпретации того, что значит носить обручальное кольцо.
Египтяне
Через несколько сотен лет после того, как неандерталец изобрели обручальное кольцо, египтяне начали делать свои собственные кольца из кости, кожи, слоновой кости и конопли.Несколько лет спустя они обнаружили, что металл также можно использовать для изготовления колец, и поэтому он был известен как деньги для колец. Когда женщина получала это кольцо, у нее всегда были права на имущество мужа.
Римляне
В римские времена обручальное кольцо приобрело более романтическое значение. Это не только свидетельствовало о том, что замужняя женщина имеет право на мирское имущество мужа, но также служило знаком того, что жена открыла его сердце.
Чтобы символизировать это, ключ часто был частью обручального кольца.
Ранняя азиатская цивилизация
Несколько менее романтическое значение придавалось обручальным кольцам в ранней азиатской цивилизации, где они рассматривались больше как знак юридического договора. Брак был скреплен обручальным кольцом-головоломкой, которое сразу же распалось, когда его сняли. Это означало, что неверная жена будет обнаружена сразу, если она снимет обручальное кольцо во время отсутствия мужа. С годами обручальное кольцо приобрело тот стиль, который мы знаем сегодня.В средневековье, например, кольца делали почти исключительно из золота и, чаще, из драгоценных камней. Только с 1940-х годов стало модным прикреплять бриллиант на обручальное кольцо.
История мужского обручального кольца
Только в 20 веке мужчины стали носить традиционное обручальное кольцо. До этого их носили только жены, но во время Второй мировой войны они действительно прижились и для мужей.
Идея заключалась в том, что мужчины будут брать с собой своих близких в те времена, когда они не были уверены, что когда-нибудь увидят их снова.Хотя в настоящее время эта идея больше не применяется, большинство западных мужчин по-прежнему носят обручальные кольца.
Мужские обручальные кольца за последние годы приняли довольно разные формы. Они больше не требуются и не предназначены для подбора невесты, и они доступны не только в золоте. Вместо этого используется множество металлов, и они бывают разного дизайна, в зависимости от предпочтений жениха. У одних есть бриллианты, у других — простые и гладкие — все зависит от вкуса.
Выбор золота для обручального кольца
Страна-производитель играет важную роль в выборе золотого содержания, которое будет иметь обручальное кольцо.Например, люди из стран, где чистое золото является нормой, часто считают 14- или 9-каратное золото малобюджетным. Между тем, люди, привыкшие к более светлому золоту, на самом деле находят чистое 22-каратное золото слишком эффектным и фальшивым.
Так что в некотором смысле решение субъективно.
В западном мире
Большинство западных стран считают 14-каратное золото нормой при выборе обручального кольца для своего партнера. Интересно, что голландский закон гласит, что золото менее 14 карат нельзя даже называть золотом.Несмотря на это, 9-каратное золото становится все более популярным даже в таких странах, как Германия и США, где 10-каратное золото также широко распространено.
В Азии
В отличие от западного мира, страны Азии больше привыкли покупать чистое желтое золото; Это означает, что золото 18 и 22 карата считается нормой. Отчасти это связано с религией. Между тем, в Индии золото тесно связано с превосходством, красотой и привлекательностью. Согласно индийской традиции, чем больше золота дается невесте, тем счастливее она будет.Жених также может выбрать кольцо с более высоким содержанием золота, поскольку оно более прочное, а предоставление долговечных украшений символизирует, что он также напрямую инвестирует в длительный брак.
Современные культурные традиции обручальных колец
На протяжении веков обручальное кольцо приобретало множество различных дизайнов и носилось по-разному.
Англия и Северная Америка
В Англии и Северной Америке кольца часто носят как наборы, которые помогают отметить особые вехи во время брака.Сначала идет обручальное кольцо, которое надевают на безымянный палец правой руки. После свадьбы обручальное кольцо следует переместить в другую руку, на тот же палец, но поверх обручального кольца. Это для того, чтобы обручальное кольцо сидело ближе к сердцу. Завершающий этап — кольцо вечности, которое традиционно дарят в первую годовщину свадьбы или рождение первенца. Его можно носить либо поверх обручального и помолвочного кольца, либо на противоположной руке.
Россия и Франция
Российские и французские обручальные кольца бывают самых разных дизайнов. Во Франции обручальное кольцо часто является семейной реликвией. В отличие от других западных стран, обручальное кольцо может иметь такие драгоценные камни, как рубины, изумруды или сапфиры, вместо традиционных бриллиантов.
Между тем, в России обручальные кольца часто состоят из трех разноцветных переплетенных лент, известных как тройные катящиеся кольца. Эти три полосы из розового, белого и желтого золота символизируют Святую Троицу христианской ортодоксальной религии или прошлое, настоящее и будущее пары.В кольце также нет камней.
Кельтские народы
В кельтских областях (Ирландия, Шотландия, Уэльс, Бретань, Корнуолл и остров Мэн) обручальные кольца часто имеют дизайн Claddagh . Эти узоры олицетворяют любовь, верность и дружбу — руки олицетворяют дружбу, сердце — любовь, а корона — верность. Считается, что кольцо было впервые произведено в ирландской рыбацкой деревне Кладдах в Голуэе еще в 17, , годах.Однако, вероятно, это восходит к римским временам, когда жест сцепленных рук был символом принесения клятвы. К концу 20-го -го -го века кольцо Кладда превратилось в символ ирландской идентичности; теперь его носят многие, не только состоящие в браке.
Коренные народы Северной Америки
Обручальные кольца, которые больше всего отличаются от западного дизайна, носят многие коренные жители Северной Америки. Они почти всегда сделаны из серебра и украшены полудрагоценными камнями или натуральными материалами, такими как бирюза, красные кораллы и ракушки, которые, как считается, обладают силой.На кольцах часто выгравированы символы и животные, которые считаются священными для этой конкретной культуры. Некоторые из них включают лосей, лосей и буйволов — трех основных продуктов питания многих коренных народов Северной Америки. На них также может быть выгравирован символ известного духа в человеческой или земной форме, например, солнце, деревья и другие природные плоды земли.
Религиозные традиции обручальных колец
В отличие от того, что мы часто видим в фильмах, обручальное кольцо не всегда носят на левой руке.Религия часто играет роль в принятии решения о том, как его следует носить.
Католицизм
В некоторых странах, где преобладает католицизм, люди фактически носят обручальные кольца на правой руке. Одна из причин этого заключается в том, что некоторые считают левых злом. На самом деле, латинское слово «левый» — «зловещий», которое теперь имеет темный оттенок. Однако это верно не для всех католиков. Например, в то время как голландские католики носят кольцо на левой руке, австрийские католики носят кольцо на правой руке; а в Бельгии это зависит от региона, в котором вы живете.
Протестанты
Хотя протестанты часто носят кольцо на правой руке, не все из них делают это. Романтическая идея ношения кольца на левом безымянном пальце заключается в том, что оно находится ближе к сердцу; вот почему многие люди так делают. Это просто зависит от того, насколько вы романтичны.
Как видите, когда дело доходит до ношения обручального кольца, не может быть универсального подхода — в прямом и переносном смысле слова. При выборе этого особенного украшения вы можете учитывать не только свое происхождение и культуру; учитывайте и свой личный вкус.Есть много вариантов на выбор, но какой из них вам подходит? Возможно, вы найдете вдохновение в различных культурах, представленных выше.
Кольца K-S, золото 9 карат, 2 мм, желтое, белое и розовое, русское обручальное кольцо Ювелирные изделия и часы
Кольца K-S, золото 9 карат, 2 мм, желтое, белое и розовое обручальное кольцо
Золото 9 карат 2 мм, желтое, белое и розовое обручальное кольцо / кольца в русском стиле — размер K-S. Кольцо Claddagh из желтого золота 9 карат с золотыми кольцами из кристаллов / CZ / 9 карат — размер K — X.Желтое золото 9 карат. Кольцо с бриллиантами в виде кости 0,1 карата / Золотые кольца 9 карат — Размер K — P. Кристалл Solitare из желтого золота 9 карат / Кольцо обещания CZ / Золотые кольца 9 карат — Размер K — X .. неиспользованные и неношеные предметы (включая предметы ручной работы) в оригинальной упаковке (например, в оригинальной коробке или сумке) и / или с прикрепленными оригинальными бирками. Просмотреть все определения состояний: Металл:: Многотонное золото, Бренд:: Шкатулка: Металл Чистота:: 9 карат, MPN:: HJ-RUSSIAN: Повод:: Свадьба.
Кольца размера K-S, золото 9 карат, 2 мм, желтое, белое и розовое обручальное кольцо в России
, также известный как шестигранный ключ или шестигранный ключ. Цвета хорошо подобраны и легко узнаваемы даже на лугах, а плоская коническая форма делает их чистыми даже в ветреную погоду и не будет сдуваться, Модель №: IG-01- 900-0256, Disney Store Костюм Marvel Avengers Iron Man Пижамный комплект с длинным рукавом для мальчика 5, вышитый дизайн ограниченной серии.4 см (ширина x высота) в сложенном виде. Конструкция для увеличения скорости удаления стружки. Tasmanian Devil для президента Лицензионная футболка TAZ FOR PREZ для взрослых всех размеров, серьги-гвоздики с круглой бриллиантовой огранкой 90 CT из белого золота 14 карат с завинчивающейся задней крышкой и другие гвоздики на. Достаточно прочный для повседневного ношения, Máscara Rosto a purificação do ar Tampa Anti Poeira Fumaça multi-camada de máscara filter Boca. * Доступно множество ярких и интересных цветных рисунков. Найдите в моем магазине свадебные расчески и заколки для волос:, ОГРАНИЧЕННОЕ ИЗДАНИЕ Подлинные солнцезащитные очки DITA MACH ONE 1 с синим серебристым зеркалом DRX 2030 J.Красиво нарисованный от руки с мягко текстурированным фоном. Печатайте на бумаге или карточке на белой или не совсем белой бумаге по желанию. ROXY WOMENS JUMPER.NEW SUNRISE DELICACY PINK CREW SWEAT SHIRT TOP 8W 783 MMFO, пожалуйста, не стесняйтесь спрашивать, мы отправляем наши продукты в течение 1 рабочего дня по всему миру с помощью PTT (Национальная почтовая служба Турции) заказной авиапочтой, у которой есть номер отслеживания. Мексиканская рубашка с вышивкой в стиле вестерн Camisa Mariachi, Charro Bordada de Espuela De Oro, у вас будет дополнительная отдача, потому что она способна растягиваться на несколько дюймов дольше, что дает вам возможность повторно использовать свою любимую одежду снова и снова.Морская звезда Многоцветный Зеленый Синий Огненный Опал Драгоценные камни Женское ожерелье Серебряные подвески, Теплые зимние колготки на флисовой подкладке. и вы будете любить носить их все время, продавец из США Black Heart Ring Sterling Silver 925 Best Jewelry Selectable Onyx. Он имеет мягкую ручку TPR и 3 широких полностью закрытых колеса для обеспечения безопасности детских ножек. Большая талия 30 дюймов Подъем спереди 13 ½ дюйма Подъем сзади ¼ дюйма Внешний шов 41 дюйм. Da NeeNa M0092 Сальса Латинская Самба Изысканное танцевальное платье с пайетками XS-XL. Инструмент со звуком, возбужденным от дуновения и свежими красками.продаются из-за границы и могут отличаться от местных продуктов, Awesome light изменит ваш взгляд на видео с уроками по макияжу. цвета, показанные на фотографии, могут не совпадать.
ОБРАЗЕЦ ПРОДАЖИ КОЛЬЦА ДЛЯ СТУПЕНИ ИЗ СТЕРЛИНГА
Полюбите это новое элегантное обручальное кольцо круглой огранки 1,3 карата в стиле ар-нурво. Настолько классический, что его можно носить с обручальным кольцом или без него, решать вам. Путешествие из трех камней представляет прошлое, настоящее и будущее.
Российская лаборатория diamon d s созданы с помощью собственного процесса, воссоздающего чудо природы.Подобно добытым алмазам, эти бриллианты ограняются и полируются высококвалифицированными огранщиками, а затем превращаются в элегантные украшения, которыми будут дорожить поколения.
- Бесплатная доставка по всему миру
- Подарочная коробка
- ФИНАЛЬНАЯ РАСПРОДАЖА
- Только размер 7
- СУДА 1-2 РАБОЧИХ ДНЯ
- Доступны тарифные планы Layaway, напишите нам.
МАТЕРИАЛ: Бриллианты Russian Lab
Размер карата: 1,3 карата + 0,5 карата Акценты
Тип металла: серебро 925 пробы / платина
Цвет камня: D
Доступны размеры: 4-9
УСТОЙЧИВОСТЬ
Бриллианты давно были среди величайших природных сокровищ, обнаруженных человечеством.Их долговечность, красота и блеск — свидетельство чудес, сотворенных тысячелетиями геологических движений и процессов. И все же усилия, необходимые для извлечения этих сокровищ с земли, оказали пагубное воздействие на нашу окружающую среду.
Дух устойчивого развития — это тот дух, в котором человечество гармонично сосуществует с нашей планетой, никогда не нарушая баланса между тем, что нам нужно для выживания, и возобновляемыми ресурсами, которые мы возвращаем Земле. Российские лабораторные алмазы производятся с использованием передовых технологий, которые позволяют создавать эти сокровища без негативного воздействия на окружающую среду, что вы можете с гордостью носить.
БЕЗОПАСНОСТЬ ДЛЯ ОКРУЖАЮЩЕЙ СРЕДЫ
Когда вы держите выращенный алмаз, вы держите красивый и прочный драгоценный камень, созданный преданными и блестящими учеными. То, что вы не держите в руках, — это продукт, который пришел из некогда оживленной среды обитания или который потребовал разрушительных земляных работ в открытом карьере.
БЕЗ КОНФЛИКТОВ
Каждый алмаз выращивается в контролируемой, безопасной и чистой лаборатории, которая гарантированно свободна от каких-либо конфликтных зон по всему миру.
БЕСПЛАТНО
Russian Lab Diamonds соответствуют высшим стандартам качества и стоимости.Они обладают всей красотой, блеском и мерцанием добытых алмазов и по сравнению с камнями того же цвета, огранки, чистоты и веса в каратах обеспечивают значительную экономию, поэтому вам никогда не придется выбирать между качеством и совестью.
Какое идеальное кольцо!
Очень мощное ядерное оружие России — стратегические неразорвавшиеся боеприпасы
Хотя экономические санкции практически нейтрализовали большую часть усилий страны по модернизации военной техники, России удалось сохранить свою актуальность в 21-м веке, выставив на вооружение вызывающее заголовки экзотическое оружие, в том числе массивное ядерное оружие, гораздо более масштабное, чем все, что может предложить дядя Сэм.Имея ядерное оружие, такое как межконтинентальная баллистическая ракета РС-28 «Сармат» и подводный беспилотник многоцелевой системы «Статус-6», Россия сегодня может нанести своим целям большие разрушения, чем когда-либо во время холодной войны. Дело в том … что это больше не имеет значения.
Гарантированное взаимное уничтожение
Последствия взрыва атомной бомбы над Хиросимой, 6 августа 1945 г. (Фото ВМС США)В то время как боевые действия во время «холодной войны» в основном сводились к сравнительно небольшим конфликтам по доверенности, «холодная война» затмила даже Вторую мировую войну с точки зрения ставок.Победа нацистов во Второй мировой войне изменила бы жизнь в том виде, в каком мы ее знаем, во всем мире … но обмен ядерными ударами во время холодной войны мог буквально закончить ее . При таких высоких ставках и Соединенным Штатам, и Советскому Союзу было несложно убедить законодателей и налогоплательщиков вкладывать средства в разработку оружия. В результате ядерные запасы были настолько обширными и обладающими широкими возможностями, что доктрина взаимного гарантированного уничтожения стала единственным эффективным средством сдерживания крупномасштабной войны между сверхдержавами.
Концепция гарантированного взаимного разрушения была впервые предложена в 1962 году Дональдом Бреннаном, стратегом, работающим в Гудзоновском институте Германа Кана. После того как Советский Союз испытал свое первое ядерное оружие в августе 1949 года, напряженность между союзниками по Второй мировой войне стала значительно более острой, что вызвало возобновление интереса и финансирования собственного оружия массового уничтожения Америки. Как и ожидалось, чем больше Соединенные Штаты вкладывали деньги в оборонные программы, тем больше, в свою очередь, делали Советы.Результатом стал цикл производства и разработки ядерного оружия, который достиг своего пика в 1980-х годах, когда совокупные запасы ядерного оружия двух стран превысили 60 000 (что примерно в шесть раз превышает совокупные запасы этих стран сегодня).
Так выглядит одиночный взрыв мощностью 1,85 мегатонны. (Национальная администрация по ядерной безопасности)Эта гонка вооружений простиралась далеко за пределы самого ядерного оружия. Каждая нация также нуждалась в широко распространенных средствах доставки этого оружия к своим целям, поэтому никакой первый ядерный удар не мог полностью лишить страну способности ответить тем же.Для этого Соединенные Штаты начали распределять возможности ядерного оружия по способам доставки и отраслям обслуживания. Сегодня мы узнали это распределение как ядерную триаду . В то время как ядерное оружие различных применений и размеров появилось как часть этих усилий, костяк ядерной триады Америки возник как комбинация межконтинентальных баллистических ракет наземного базирования, авиационных бомб и ракет подводного базирования. Советы вскоре выставили сопоставимую триаду, соответствующую способности Америки ответить на любую ядерную атаку.
Доктрина гарантированного взаимного уничтожения остается важной частью американской стратегии ядерного сдерживания для преемника Советского Союза, российского правительства. Сегодня обе страны поддерживают ядерные арсеналы, которые значительно меньше, чем в разгар холодной войны. Однако, в то время как Америка позволила значительной части своей инфраструктуры ядерного оружия устареть, Россия продолжала опираться на свое ядерное оружие как на средство геополитической демонстрации.
Какое ядерное оружие России по сравнению с американским?
Сравнение мощности находящихся в эксплуатации и списанных ядерных боеголовок.РС-28 Сармат
Сегодня в Соединенных Штатах имеется около 5800 единиц ядерного оружия, из которых 3800 считаются активными. В этом запасе находится не менее 400 межконтинентальных баллистических ракет наземного базирования (МБР) LGM-30 Minuteman III. Minuteman III находится в эксплуатации с 1970 года, имеет дальность полета более 6000 миль и точность до 800 футов.Эти ракеты могут нести от одной до трех ядерных боеголовок, каждая с максимальной взрывной мощностью 475 килотонн, что дает этому оружию максимальную мощность в 1,425 мегатонн. Другими словами, это означает, что каждая американская межконтинентальная баллистическая ракета может доставить примерно , 95 раз разрушительной способности атомной бомбы, сброшенной на Хиросиму.
Звучит довольно громоздко, правда? Устаревшие американские ракеты Minuteman III, безусловно, обладают мощным ударом, но даже с тремя наиболее мощными боеголовками эти ракеты на затмевают самой современной (и мощной) МБР России, поступающей на вооружение в этом году: РС-28 Сармат.
RS-28, иногда известный как «Сатана II», находился в разработке с 2014 года и был классно описан российскими государственными СМИ как «способный уничтожить части земли размером с Техас или Францию». . Ракета имеет дальность действия 6 385 миль и имеет боеголовку, забитую несколькими независимыми ракетами-носителями (MIRV), которые могут похвастаться совокупной разрушительной мощностью 50 мегатонн единиц. Другими словами, RS-28 Sarmat обладает разрушительной мощностью более чем в 35 раз по сравнению с Minuteman III.
Самая мощная ядерная бомба Америки, B83, также может похвастаться мощностью всего 1,2 мегатонны, и даже самое мощное ядерное оружие в истории Америки, 9 мегатонн B53, составляет менее 1/5 мощности могущественного Sarmat. .
Но если ракета, получившая название «Сатана II» и продаваемая как способ убрать Техас с карты, недостаточно массивна, Россия также может похвастаться еще одним ядерным ядерным оружием Судного дня, которое, как утверждается, соответствует ядерной мощности Сармата или даже удваивает ее, тогда как усиление его разрушительной способности путем создания неестественного стихийного бедствия.
Многоцелевая система Oceanic Status-6
Российские государственные СМИ непреднамеренно просочили Статус-6, разместив это изображение.Океаническая многоцелевая система Status-6 на протяжении многих лет получила ряд имен в западном анализе, отчасти потому, что это оружие долгое время считалось чем-то вроде городской легенды. Слухи о статусе-6 впервые всплыли на поверхность несколько лет назад, в основном из-за расплывчатых упоминаний в российских новостных сообщениях, но его существование подтвердилось в течение последних нескольких лет — сначала просочившееся изображение отчета разведки Пентагона, а затем официальные объявления. из Кремля.
В отличие от ядерных ракет подводных лодок, которые Россия и США используют как часть своих ядерных триад, «Статус-6» (иногда называемый «Посейдон» или по его обозначению в НАТО «Каньон») на самом деле является подводным дроном. После развертывания на подводной лодке ВМФ России беспилотник может автономно лететь к своей цели, преодолевая расстояние более 5400 миль на глубине до 3300 футов. Как только он находит свою цель, Status-6 просто паркуется и ждет команды на детонацию.
Художественная визуализация статуса-6 (Российские государственные СМИ)На борту этого подводного дрона находится абсолютно массивная боеголовка — некоторые утверждают, что он обладает такой же ядерной мощностью, как RS-28, а другие заявляют, что вдвое больше, чем . По словам некоторых российских официальных лиц, «Статус-6» может быть оснащен 100-мегатонным оружием … что в два раза мощнее, чем самое большое ядерное оружие из когда-либо существовавших даже испытанных .
Взрыв такой силы не только разрушил бы и облучил огромную территорию, его расположение под водой привело бы к радиоактивному цунами, которое достигло бы гораздо дальше внутри суши, чем сам взрыв.Однозначно, Статус-6 предназначен для использования в качестве оружия судного дня . Это оружие, которое вы создаете не для победы в войнах, а для их прекращения.
Какова стратегическая ценность массового ядерного оружия?
Вид на испытание «Царь-бомбы» мощностью 50 мегатонн, самого мощного ядерного оружия из когда-либо взорвавшихся. (WikiMedia Commons)Америка находится на фоне, возможно, запоздалых усилий по модернизации своего арсенала межконтинентальных баллистических ракет на платформе наземного стратегического сдерживания (GBSD) Northrop Grumman, которая, как ожидается, будет введена в эксплуатацию в конце этого десятилетия.Хотя разрушительная способность термоядерной боеголовки W87 Mod 0 пока не раскрыта, само собой разумеется, что эти новые ракеты по-прежнему будут обладать значительно меньшей огневой мощью, чем могучий российский «Сармат», не говоря уже об ужасающей мощности в 100 мегатонн, о которой заявляет Статус-6.
Некоторым, придерживавшимся мышления «холодной войны» на соответствие способности сдерживать войну, это может показаться вопиющим провалом со стороны американской оборонной инфраструктуры. В конце концов, как вы надеетесь удержать 100-мегатонное оружие, если ваше собственное самое мощное оружие ничтожно по сравнению с ним? Что ж, правда в том, что вам просто не нужно .
Старший летчик Скотт Фаулер (вверху) и старший летчик Пол Гальегос, обслуживающий персонал 321-го стратегического ракетного крыла, направляют систему возврата ракет LGM-30 Minuteman III в систему наведения ракет. (Фото МО)Еще в 1962 году, когда Дональд Бреннан впервые ввел термин «взаимно гарантированное уничтожение», Советский Союз успешно испытал свою первую водородную бомбу (или термоядерное оружие) лишь около семи лет назад. У Советов не было дронов с ядерным цунами , как сегодня, и все же, что касается Америки, обмен ядерными ударами с Советским Союзом почти наверняка уничтожит жизнь на Земле, какой мы ее знаем.Это почти как если бы вам не нужно было злодейских ядерных боеприпасов Бонда , чтобы напугать, когда обычные ядерные бомбы будут делать то же самое.
И в этом заключается практический провал массивных ядерных вооружений России: они могут быть хороши для некоторого геополитического театра, но стратегически они почти ничего не меняют в миссии ядерного сдерживания или сравнительном военном положении каждой страны. Как и во время холодной войны, и Россия, и Соединенные Штаты осознают, что запуск единственного ядерного оружия — это все, что нужно для начала каскада ответных ударов, который, однажды начавшись, приведет к ядерному апокалипсису для большинства граждан каждой страны. (и все остальные), скорее всего, не выживут.Когда в результате наступает конец света, не имеет значения, насколько велик может быть этот первый взрыв.
«Мой больше!» Русский солдат кричит прямо перед тем, как его лицо тает. (Фотография ВВС США)Так какая же ценность в оружии мощностью 50 или 100 мегатонн, подобном тому, что есть в арсенале России? Хотя на самом деле они не представляют особой стратегической ценности в ядерной войне, они, как , так и , тем не менее, играют важную роль, помогая России поддерживать свою репутацию в мире как силы, с которой нужно считаться.Эта репутация важна не только для агрессивного подхода России к внешней политике, но и для того, чтобы удерживать свои позиции в качестве торговца оружием, избранного странами, входящими в список непослушных американцев.
Подобно их символическому флоту из дюжины или около того истребителей пятого поколения или их частым заявлениям о роботах-солдатах или плащах-невидимках, Россия зависит от освещения в иностранной прессе, которое помогает сформировать представление о том, что Россия является передовым разработчиком и производителем оружия. Россия нуждается в притоке денег от зарубежных продаж, если они когда-либо надеются получить адекватное финансирование для своих многообещающих (но ужасно недофинансированных ) программ, таких как их основной боевой танк Т-14 Армата.
Проще говоря: массовые ядерные бомбы России на самом деле связаны не столько со стратегическими возможностями, сколько с восприятием, запугиванием и экономикой. Однако будет ли эта попытка успешной, еще предстоит определить.
Изображение предоставлено Кремлем
.

5
5
5 года
4
4
1
4
86
5
5/8
1/8
Если ширина кольца 8 миллиметров и больше, к исходному размеру прибавляется ¼ или ½ получившегося диаметра.
7
Но тут нужно следить за тем, чтобы изрядно не переусердствовать. Иначе однажды вы кольцо просто потеряете;
5
0
5
0
5
0
5
0
5
0
5
0
Дала мне пошаговую информацию о моем обручальном кольце жениха. Доставка была очень быстрой и быстрой. Я обязательно снова окажу им свои услуги.
..